|
|
Created by Somabelmont
about 11 years ago
|
|
| Question | Answer |
| The rules of exponents | Luis Fernando Del Valle A01400982 |
|
The product Rule
Image:
product.PNG (image/PNG)
|
Example:
Image:
Captura.PNG (image/PNG)
|
|
Quotient Rule:
Image:
2.PNG (image/PNG)
|
Example:
Image:
3.PNG (image/PNG)
|
|
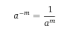
Negative Exponent Rule:
Image:
4.PNG (image/PNG)
|
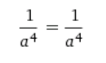
Example:
Image:
5.PNG (image/PNG)
|
|
Zero exponent rule:
Image:
6.PNG (image/PNG)
|
Example:
Image:
7.PNG (image/PNG)
|
|
Raising a power to a power:
Image:
9.PNG (image/PNG)
|
Example:
Image:
8.PNG (image/PNG)
|
|
Raising a product to a power:
Image:
10.PNG (image/PNG)
|
Example:
Image:
11.PNG (image/PNG)
|
|
Raising a quotient to a power:
Image:
12.PNG (image/PNG)
|
Example:
Image:
13.PNG (image/PNG)
|
Want to create your own Flashcards for free with GoConqr? Learn more.