Fórmulas PA e PG

Description

Estudos Flashcards on Fórmulas PA e PG, created by johannsoretz on 15/10/2014.
johannsoretz
Flashcards by johannsoretz, updated more than 1 year ago
johannsoretz
Created by johannsoretz about 11 years ago
200
7

Resource summary

Question Answer
Termo Geral da PA
Soma de termos de uma PA
Termo Geral da PG
Soma de termos finitos de uma PG
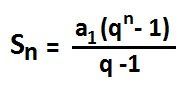
Soma de termos infinitos de uma PG
Show full summary Hide full summary

Similar

Cronograma De Estudos
Hugo Nicolau
Cronograma de Estudos 2017
Camila Rossi
Tabela Periódica
Letícia Satiko Seo
Estatuto do Desarmamento
Gustavo Pereira1692
Dicas para sobreviver a rotina cansativa de estudante
Malu Miralha
Memória
vivi sousa
Sistema Imunológico
Luiza Donatelli
Romantismo
Pedro Vaz
EsPCEx
Rafael Alvim
Cronograma Rotina Diária - Quarentena
emily fonseca
Cronograma Rotina Diária - Quarentena
My Home