|
|
Created by david doran
about 9 years ago
|
|
|
|
Copied by Andrei De Leon
about 7 years ago
|
|
| Question | Answer |
| Describe what happens when 2 objects interact | Whenever two objects interact, the forces they exert on each other are equal and opposite. |
| What is the resultant force ? | A number of forces acting at a point may be replaced by a single force that has the same effect on the motion as the original forces all acting together. This single force is called the resultant force |
| Describe what happens to a stationary object is : A. the resultant force is 0 B. the resultant force is not 0 | If the resultant force acting on a stationary object is: ■ zero, the object will remain stationary ■ not zero, the object will accelerate in the direction of the resultant force. |
| Describe what happens to a moving object is : A. the resultant force is 0 B. the resultant force is not 0 | If the resultant force acting on a moving object is: ■ zero, the object will continue to move at the same speed and in the same direction ■ not zero, the object will accelerate in the direction of the resultant force. |
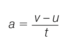
| state the units used in this equation | |
| What does the gradient of a distance–time graph represent | speed |
| what is velocity | The velocity of an object is its speed in a given direction. |
| state the units used in this equation | |
| What does the gradient of a velocity–time graph represent | acceleration |
| What is stopping distance | The stopping distance of a vehicle is the sum of the distance the vehicle travels during the driver’s reaction time (thinking distance) and the distance it travels under the braking force (braking distance). |
| State what can effect a drivers reaction time | A driver’s reaction time can be affected by tiredness, drugs and alcohol. |
| Explain why the temperature of the breaks increase when they are used | When the brakes of a vehicle are applied, work done by the friction force between the brakes and the wheel reduces the kinetic energy of the vehicle and the temperature of the brakes increases |
| What effects a vehicles braking distance | A vehicle’s braking distance can be affected by adverse road and weather conditions and poor condition of the vehicle. |
| DEscribe the term terminal velocity | An object falling through a fluid will initially accelerate due to the force of gravity. Eventually the resultant force will be zero and the object will move at its terminal velocity (steady speed). |
| state the units used in this equation | |
| state the units used in this equation | |
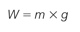
| W = F x d state the units used in this equation | W is the work done in joules, J F is the force applied in newton's, N d is the distance moved in the direction of the force in metres, m |
| when is energy transferred ? | Energy is transferred when work is done |
| discuss the transfer of kinetic energy during space shuttle re entry | On re-entry into the atmosphere the shuttle encounters enormous frictional forces which cause it to decelerate. Some of the initial kinetic energy is converted into heat and this means that the shuttle is subjected to extremely high temperature with the subsequent risk of fire and explosion |
|
state the units of the below equation
Image:
Yy1 (image/png)
|
Image:
Yy2 (image/png)
|
|
state the units of the below equation
Image:
Yy3 (image/png)
|
Image:
Yy4 (image/png)
|
|
state the units of the below equation
Image:
Yy5 (image/png)
|
Image:
Yy6 (image/png)
|
|
state the units of the below equation
Image:
Yy7 (image/png)
|
Image:
Yy8 (image/png)
|
| State what is meant by conservation of momentum ? | In a closed system the total momentum before an event is equal to the total momentum after the event. This is called conservation of momentum. |
| Two railway carriages collide and move off together. Carriage A has a mass of 12,000 kg and moves at 5 m/s before the collision. Carriage B has a mass of 8,000 kg and is stationary before the collision. What is the velocity of the two carriages after the collision? | Momentum of carriage A before = 12,000 × 5 = 60,000 kg m/s Momentum of carriage B before = 8,000 × 0 = 0 kg m/s Total momentum before = 60,000 + 0 = 60,000 kg m/s. Total mass = mass of carriage A + mass of carriage B = 12,000 + 8,000 = 20,000 kg Velocity (after the collision) = 60,000 ÷ 20,000 = 3 m/s |
| A gun has a mass of 2·5 kg and a recoil velocity of 8 m/s. What is the velocity of the bullet if it has a mass of 0·02 kg? | momentum = mass x velocity For the gun momentum = 2·5 x 8 = 20·0 kgm/s. For the bullet 20·0 = 0·02 x v v = 20·0 ÷ 0·02 = 1000 m/s. The velocity of the bullet = 1000 m/s. |
| Describe how materials become statically charged ? | When certain insulating materials are rubbed against each other they become electrically charged. Negatively charged electrons are rubbed off one material and onto the other. The material that gains electrons becomes negatively charged. The material that loses electrons is left with an equal positive charge. |
| Describe what happens when charged materials come close together ? | Two objects that carry the same type of charge repel. Two objects that carry different types of charge attract |
| What is electric charge ? | Electric current is a flow of electric charge. The size of the electric current is the rate of flow of electric charge |
|
state the units of the below equation
Image:
Uu1 (image/png)
|
I is the current in amperes (amps), A Q is the charge in coulombs, C t is the time in seconds, s |
| what is potential difference ? | The potential difference (voltage) between two points in an electric circuit is the work done (energy transferred) per coulomb of charge that passes between the points. |
|
state the units of the below equation
Image:
Rr1 (image/png)
|
V is the potential difference in volts, V W is the work done in joules, J Q is the charge in coulombs, C |
| draw and give the names of all the circuit symbols |
Image:
S1 (image/png)
|
| give a use of a thermistor | a thermostat |
| give a use of an ldr | switching lights on when it gets dark |
| What are Current–potential difference graphs used to show ? | Current–potential difference graphs are used to show how the current through a component varies with the potential difference across it |
| draw a current–potential difference graph for a resistor at constant temperature. |
Image:
G1 (image/png)
|
| how can the resistance of a component be found ? | The resistance of a component can be found by measuring the current through, and potential difference across, the component. |
| describe the relationship between current and potential difference in a resistor (at a constant temperature) | The current through a resistor (at a constant temperature) is directly proportional to the potential difference across the resistor. |
| state the units of the below equation V = I x R |
Image:
Ii (image/png)
|
| describe how increasing resistance effects the current flowing through a component ? | The current through a component depends on its resistance. The greater the resistance the smaller the current for a given potential difference across the component. |
| How do you calculate the potential difference of cells place in series ? | The potential difference provided by cells connected in series is the sum of the potential difference of each cell (depending on the direction in which they are connected). |
| state 3 things that are true for components connected in series | ■ the total resistance is the sum of the resistance of each component ■ there is the same current through each component ■ the total potential difference of the supply is shared between the components. |
| state 2 things that are true for components connected in parallel | ■ the potential difference across each component is the same ■ the total current through the whole circuit is the sum of the currents through the separate components |
| The resistance of a filament bulb increases as the temperature of the filament increases. draw a graph that shows this |
Image:
Gg (image/png)
|
| The resistance of a filament bulb increases as the temperature of the filament increases. explain why this occurs ? | An electric current flows when electrons move through a conductor, such as a metal wire. The moving electrons can collide with the ions in the metal. This makes it more difficult for the current to flow, and causes resistance. As the temperature increases, the metal ions vibrate more. There are more collisions with the electrons and so the resistance increases. |
| The current through a diode flows in one direction only. The diode has a very high resistance in the reverse direction draw a graph that shows this |
Image:
J (image/png)
|
| What is an LED ? | An LED emits light when a current flows through it in the forward direction |
| Why are LEDs being used more ? | there is an increasing use of LEDs for lighting, as they use a much smaller current than other forms of lighting. |
| What is a LDR ? | The resistance of a light-dependent resistor (LDR) decreases as light intensity increases. |
| What happens to resistance in a thermistor when temperature increases ? | The resistance of a thermistor decreases as the temperature increases. |
| what is d.c current ? | Cells and batteries supply current that always passes in the same direction. This is called direct current (d.c.). |
| what is alternating current ? | An alternating current (a.c.) is one that is constantly changing direction. |
| draw an oscilloscope trace for direct current |
Image:
Fd (image/png)
|
| draw an oscilloscope trace for alternating current |
Image:
Bh (image/png)
|
| show how you can use an oscilloscope trace to calculate the time period and frequency of a supply |
The peak voltage (amplitude) is 3V.
The time period (T) is 8 squares x 0.002 = 0.016 s.
We can calculate the frequency (f) in hertz (Hz) using f = 1/T
Image:
Er (image/png)
|
| What time of supply is mains electricity and what is its voltage and frequency | Mains electricity is an a.c. supply. In the UK it has a frequency of 50 cycles per second (50 hertz) and is about 230 V. |
| show how a plug is wired |
Image:
Plu (image/png)
|
| What is the function of fuses or circuit breakers ? | If an electrical fault causes too great a current, the circuit is disconnected by a fuse or a circuit breaker in the live wire. |
| How does a fuse work ? | When the current in a fuse wire exceeds the rating of the fuse it will melt, breaking the circuit. |
| What is an RCCB ? | Some circuits are protected by Residual Current Circuit Breakers (RCCBs). RCCBs operate by detecting a difference in the current between the live and neutral wires |
| Which works faster an RCCB or a fuse ? | RCCB works much faster than a fuse |
| What safety precaution is taken with devices with metal cases ? | Appliances with metal cases are usually earthed. |
| Why might a device not be earthed ? | some appliances are double insulated, and therefore have no earth wire connection |
| What is the relationship between fuse thickness and rating ? | The thicker the wire the higher the rating |
| what happens when electrical charge flows through a resistor ? | When an electrical charge flows through a resistor, the resistor gets hot |
| What is a disadvantage of using filament lamps ? | a lot of energy is wasted in filament bulbs as heat. Less energy is wasted in power-saving lamps such as Compact Fluorescent Lamps (CFLs) |
|
state the units for this equation
Image:
Hu (image/png)
|
P is power in watts, W E is energy in joules, J t is time in seconds, s |
|
state the units for this equation
Image:
Bui (image/png)
|
P is power in watts, W I is current in amperes (amps), A V is potential difference in volts, V |
| state the units for this equation E = V x Q | E is energy in joules, J V is potential difference in volts, V Q is charge in coulombs, C |
| Describe the structure of the atom | The basic structure of an atom is a small central nucleus composed of protons and neutrons surrounded by electrons |
| State the relative masses and relative electric charges of protons, neutrons and electrons. | proton = mass 1 , charge +1 neutron = mass 1 , charge 0 electron = 1/1800 , charge -1 |
| Explain why an atom has no overall charge ? | In an atom the number of electrons is equal to the number of protons in the nucleus. The atom has no overall electrical charge |
| How can atoms become ions ? | Atoms may lose or gain electrons to form charged particles called ions. |
| what is an isotope ? | The atoms of an element always have the same number of protons, but have a different number of neutrons for each isotope. |
| what is the mass number and atomic number of an atom ? | The total number of protons in an atom is called its atomic number. The total number of protons and neutrons in an atom is called its mass number. |
| what is a radioactive substance ? | Some substances give out radiation from the nuclei of their atoms all the time, whatever happens to them. These substances are said to be radioactive. |
| Is radioactivity a random or predictable process | random |
| What are the origins of background radiation | natural sources, such as rocks and cosmic rays from space, and man-made sources such as the fallout from nuclear weapons tests and nuclear accidents. |
| state the nature of the : alpha particle beta particle gamma radiation | an alpha particle is two neutrons and two protons, the same as a helium nucleus, a beta particle is a fast moving electron from the nucleus and gamma radiation as electromagnetic radiation. |
|
complete this nuclear equation :
Image:
Ty (image/png)
|
Image:
Ty2 (image/png)
|
|
complete this nuclear equation :
Image:
Wer (image/png)
|
Image:
Wert (image/png)
|
| state the properties of the alpha, beta and gamma radiations limited to their relative ionising power, their penetration through materials and their range in air. |
Image:
Gof (image/png)
|
| explain this in terms of the relative mass and charge of each particle why alpha particles are deflected less than beta particles and in an opposite direction | Alpha particles are attracted to the negatively charged plate. Beta particles are attracted to the positively charged plate. Beta particles are fast moving electrons with a very low mass . They are deflected much more than the heavier alpha particles |
| State the dangers of alpha radiation | Although alpha particles cannot penetrate the skin, if it gets into the body it can ionise many atoms in a short distance. This makes it potentially extremely dangerous. A radioactive substance that emits just alpha particles can therefore be handled with rubber gloves, but it must not be inhaled, eaten, or allowed near open cuts or the eyes |
| State the dangers of beta radiation | Beta particles are much more penetrating and can travel easily through skin. Sources that emit beta particles must be held with long handled tongs and pointed away from the body. Inside of the body beta particles do not ionise as much as alpha particles but it is much harder to prevent them entering the body. |
| State the dangers of gamma radiation | These waves are very penetrating and it is almost impossible to absorb them completely. Sources of gamma waves must also be held with long handled tongs and pointed away from the body. Lead lined clothing can reduce the amount of waves reaching the body. Gamma waves are the least ionising of the three types of radiation but it is extremely difficult to prevent them entering the body. |
| give the uses of alpha radiation ? | Ionisation is useful for smoke detectors. Radioactive americium releases alpha radiation, which ionises the air inside the detector. Smoke from a fire absorbs alpha radiation, altering the ionisation and triggering the alarm. |
| gives uses of beta radiation ? | Beta radiation is used for tracers and monitoring the thickness of materials. |
| gives uses of alpha radiation ? | Gamma radiation is used in the treatment of cancer, testing equipment and sterilising medical instruments. |
| what is meant by half life ? | The half-life of a radioactive isotope is the average time it takes for the number of nuclei of the isotope in a sample to halve |
| what are the 2 fissionable materials commonly in use ? | There are two fissionable substances in common use in nuclear reactors: uranium-235 and plutonium-239. |
| what is nuclear fission ? | Nuclear fission is the splitting of an atomic nucleus. |
| Explain how fission occurs and what is released ? | For fission to occur, the uranium-235 or plutonium-239 nucleus must first absorb a neutron. The nucleus undergoing fission splits into two smaller nuclei and two or three neutrons and energy is released. |
| The neutrons may go on to start a chain reaction. draw a sketch to show this |
Image:
Nuc (image/png)
|
| what is nuclear fusion ? | Nuclear fusion is the joining of two atomic nuclei to form a larger one. |
| where in nature does nuclear fusion occur ? | Nuclear fusion is the process by which energy is released in stars. |
| describe how stars and planets form | Stars form when enough dust and gas from space is pulled together by gravitational attraction. Smaller masses may also form and be attracted by a larger mass to become planets |
| explain why the early Universe contained only hydrogen but now contains a large variety of different elements | Stars convert H into heavier elements , in the early universe stars where not yet born |
| describe how the elements heavier the H have been formed by stars | During most of a star's lifetime, hydrogen nuclei fuse together to form helium nuclei. As the star runs out of hydrogen, other fusion reactions take place forming the nuclei of other elements. Heavier elements than hydrogen and helium (up to iron) are formed. Elements heavier than iron are formed in supernovas. |
| What is the main sequence period of a stars life | During the ‘main sequence’ period of its life cycle a star is stable because the forces within it are balanced. |
| describe the life cycle of stars |
Image:
Hop (image/png)
|
Want to create your own Flashcards for free with GoConqr? Learn more.