Principais Fórmulas de Física

Description

Principais fórmulas da Física
Luiz Fernando
Flashcards by Luiz Fernando, updated more than 1 year ago
Luiz Fernando
Created by Luiz Fernando almost 11 years ago
999
77

Resource summary

Question Answer
Principais Fórmulas da Física Nome & Construção
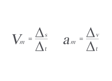
Cinemática - relação entre velocidade, deslocamento e aceleração
Forças - Princípio Fundamental da Dinâmica e da Segunda Lei de Newton
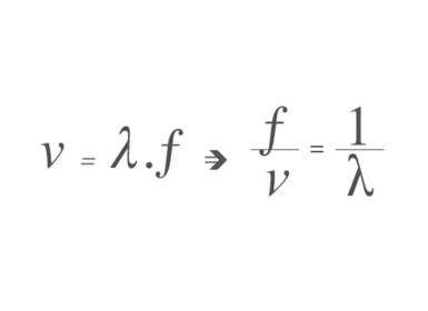
Ondas - processos básicos do movimento e velocidade de propagação de uma onda (equação fundamental da ondulatória)
Eletrodinâmica - Primeira Lei de Ohm
Eletrodinâmica - equações básicas de potência
Eletrodinâmica - consumo de energia elétrica
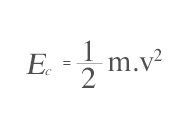
Energia - Energia cinética
Energia - Potencial Gravitacional
Energia - Potencial Elástico
Show full summary Hide full summary

Similar

Plano de estudos ENEM - Parte 2 *Exatas/Biológicas
GoConqr suporte .
Português para Vestibular
GoConqr suporte .
Redação para Vestibular
GoConqr suporte .
Simulado ENEM - Ciências da Natureza
Nathalia - GoConqr
Simulado Inglês
Marina Faria
Roteiro de Estudo - Matemática
Luiz Fernando
Simulado Filosofia
Marina Faria
Guia de Redação do ENEM
Alessandra S.
Quiz Sobre Genética
Marerodrigues
Força de atrito
Vitória Moraes3042
Movimentos Sociais - resumo
Marília Mendes