|
|
Created by lola_smily
over 10 years ago
|
|
|
|
Copied by Daniella Abi Kheir
about 7 years ago
|
|
| Question | Answer |
| Acetylcholine -muscarinic + nicotinic (Nn- blocking autonomic ganglia not selective PNS and SNS, Nm- skeletal motor function) receptor agonist *Synthesis: 1- serine (decarboxylate then methylate N) 2- recycled choline you acetylate it *Not a good therapeutic agent cause 1-ionized (not absorbed + no CNS) 2- ester (rapidly hydrolysed) 3- non selective to receptors (M,N) 4- can activate both systems (PNS,SNS) *Modifications (3) + exceptions to SAR (3) (nicotinic: alpha methyl Ach, Ach, carbachol, everything else muscarinic) | |
| Metacholine - muscarinic receptor agonist S(+) equipotent to ACH more selective to M receptors (beta methyl) resistant to AChE slow hydrolysis (bulky around ester) if bigger than CH3 => less active (more steric hindrance)+ more toxic | |
| Carbachol -muscarinic receptor agonist - converting ester to carbamate - similar ACh potency, same profile -hydrolysis by AChE slower | |
| Bethanechol - muscarinic receptor agonist - beta methyl substitution - potent and selective Muscarinic agonist -S(+) more potent | |
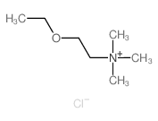
| Exceptions to SAR: 1a) choline ethyl ether - muscarinic receptor agonist no ester | |
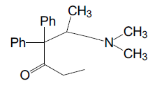
| Exceptions to SAR: 1b) alkyl amino ketones - muscarinic receptor agonist no ester | |
| Exceptions to SAR: 2) L(+)- Muscarine Chloride no ester its an ether | |
| Epimuscarine | |
| Exceptions to SAR: Pilocarpine - alkaloid, produced from Pilocarpus jaborandi no quaternary ammonium - Potent muscarinic agonist - gives inactive products 1- hydrolysis to pilocarpic acid 2- epimerization to isopilocarpine | |
| Pilocarpic acid - inactive - product of hydrolysis of pilocarpine | |
| isopilocarpine - epimerization of pilocarpine - inactive product | |
| Physostigmine -indirectly acting parasympathomimetics - reversible AChE (alkyl carbamate) - 3* amine alkaloid obtained from the Calabar Bean, Physostigma venenosum - exhibits high affinity to AChE of 10^-9 to carbachol of 10^-4 -used to treat glaucoma and over dose of anticholinergic -light sensitive -undergoes hydrolysis in aqueous solutions to give inactive products | |
| Eseroline inactive degradation product of physostigmine in aqueous solutions | |
| Rubreserine -inactive degradation product of physostigmine in aqueous solutions - red color | |
| Neostigmine -indirectly acting parasympathomimetics - reversible AChE synthetic ionized indicated for Myastenia Gravis | |
| Pyridostigmine -indirectly acting parasympathomimetics - reversible AChE synthetic ionized indicated for Myasthenia Gravis Other Reversible AchE (Carbaryl) Baygon (Propoxur) | |
| Donepezil hydrochloride Alzheimer's disease (not supposed to be quaternary ammonium) (can be ionised in the brain) -indirectly acting parasympathomimetics - reversible AChE - lack hepatotoxicity | |
| Tacrine Alzheimer's disease indirectly acting parasympathomimetics - reversible AChE - hepatotoxicity | |
| Rivastigmine Alzheimer's disease indirectly acting parasympathomimetics - reversible AChE - lack hepatotoxicity | |
| Edrophonium -used for diagnostic purposes cause short half life, its rapidly excreted in kidneys - improve Myastenia Gravis -worsen cholinergic crisis Others: Demecarium Br Ambenonium Cl Galantamine (3* amine not quaternary ammonium so can act centrally and peripherally) | |
| Malathion Irreversible AChEi organophosphate thio group (Malaoxon 10,000 more active) | |
| Parathion irreversible AChEi organophosphate thio group low Anti-AChE activity | |
| Sarin irreversible AChEi organophosphate 1 aging step u ded Aging: Anionic phosphate is much less electrophilic, much less likely to undergo hydrolysis Others: DFP diisopropylfluorophosphate Schradan Dichlorfenthion | |
| Paraoxon irreversible AChEi organophosphate oxo group high Anti-AChE activity | |
| Echothiophate iodide irreversible AChEi organophosphate the only one with therapeutic use, the rest are insecticides and war gases ionized => clnical application for glaucoma local effect | |
| Oxime reactivation of AChE Also give anticholinergic to protect the heart from so much Ach (eg. atropine) | |
| Pralidoxime chloride (2 -PAM) reactivation of AChE | |
| Obidoxime reactivation of AChE | |
| Diacetylmonoxime (DAM) reactivation of AChE | |
| Atropine parasympatholytics muscarine receptor antagonist alkaloid obtained from atropa belladonna atropine also found in datura stramonium | |
| Scopolamine parasympatholytics muscarine receptor antagonist alkaloid obtained from atropa belladonna aslo found in Hyascyamus niger | |
| Glycopyrrolate -anticholinergic -amino alcohol ester -ionized, exert effect locally in GI cause not absorbed -advantage for ulcers | |
| Propantheline anticholinergic -amino alcohol ester -ionized, exert effect locally in GI | |
| Clinidium anticholinergic -amino alcohol ester -ionized, exert effect locally in GI | |
| Ipratropium anticholinergic -amino alcohol ester -ionized, exert effect locally in GI *act locally in lungs not absorbed* | |
| flavoxate anticholinergic -amino alcohol ester -ionized, exert effect locally in GI -but its a 3* amine so can be non ionised and enter bbb | |
| Oxyphencyclimine anticholinergic amino alcohol ester 3* amine, can be used for Parkinson treatment systemic, can cross BBB | |
| Procyclidine anticholinergic amino alcohol 3* amine, systemic effect cause not ionised so absorbed, the others were quaternary amines which are ionised and act locally either GI or lungs | |
| trihexyphenidyl anticholinergic amino alcohol 3* amine, systemic effect | |
| benztropine anticholinergic amino ethers | |
| Orphenadrine anticholinergic amino ether anticholinergic> antihistaminic Diphenhydramine no CH3 antihistaminic>anticholinergic | |
| Pirenzepine - selective M1 receptor antagonist purely used for ulcers All anticholinergics: are competitive antagonists -have antispasmodic effects -produce mydriasis -antisecretory: -decrease gastric secretions -decrease saliva secretions -decrease bronchial secretions | |
| Telenzepine selective M1 receptor antagonist | |
| Hexamethonium - ganglionic blocking agent - bisquaternary ammonium -MOA: they block autonomic ganglia => inhibit ganglionic transmission - main therapeutic indication: antihypertensive | |
| trimethophan ganglionic blocking agent - sulfonium -MOA: they block autonomic ganglia => inhibit ganglionic transmission - main therapeutic indication: antihypertensive | |
| Pentolinium ganglionic blocking agent - bisquaternary ammonium -MOA: they block autonomic ganglia => inhibit ganglionic transmission - main therapeutic indication: antihypertensive | |
| Mecamylamine ganglionic blocking agent - secondary amines -MOA: they block autonomic ganglia => inhibit ganglionic transmission - main therapeutic indication: antihypertensive | |
| Pempidine ganglionic blocking agent - tertiary amine -MOA: they block autonomic ganglia => inhibit ganglionic transmission - main therapeutic indication: antihypertensive | |
| Succinylcholine chloride - depolarizing NMJ blocker - produce a 2 phase block phase 1: stimulation phase 2: depression block by receptor desensitization - therapeutic use : muscle relaxation - reversal of effects of depolarizing : give antagonist to sensitize the receptor | |
| Tubocurarine - non depolarizing NMJ blocker - cc: benzylisoquinoline - they are competitive receptor antagonist - all are ionized - lack CNS side effect - therapeutic use: muscle relaxation - reversal of effects of non depolarizing: AChI | |
| atracurium besylate - non depolarizing NMJ blocker - cc: benzylisoquinoline - they are competitive receptor antagonist - all are ionized - Exception: CNS side effects - therapeutic use: muscle relaxation - reversal of effects of non depolarizing: AChI | |
| mivacurium chloride non depolarizing NMJ blocker - cc: benzylisoquinoline - they are competitive receptor antagonist - all are ionized - lack CNS side effect - therapeutic use: muscle relaxation - reversal of effects of non depolarizing: AChI | |
| doxacurium chloride non depolarizing NMJ blocker - cc: benzylisoquinoline - they are competitive receptor antagonist - all are ionized - lack CNS side effect - therapeutic use: muscle relaxation - reversal of effects of non depolarizing: AChI | |
| L-Tyrosine | |
| L-Dopa | |
| Dopamine | |
| Norepinephrine - released NE : binding to receptor postsynaptic and presynaptic uptake 1( recycling NE) uptake 2 ( degradation, metabolism ) - receptor selectivity: alpha 1, 2, beta 1 | |
| epinephrine - increasing the size of R1 ( CH3) increase beta and decrease alpha adrenergic activity - receptor activity: Beta 2 > alpha 1,2, beta 1 metabolism NE and E => gives the major end product VMA (marker for brain tumor) | |
| Isoproterenol increasing the size of R1 (isopropyl) increase beta and decrease alpha adrenergic activity - receptor activity: Beta 2, Beta 1 | |
| Colterol - increase the size of R1 to t-butyl group increase selectivity to beta 2 agonistic activity -cc: phenylethanolamines -receptor selectivity :beta 2 > beta 1 beta 2 agonist | |
| ritodrine -increasing the size of R1 => increase selectivity to beta 2 agonistic activity - at least one hydroxyl group is required to form hydrogen bonding with receptor | |
| Ethylnorepinephrine substation on Carbon 2, R2: ethyl increase beta activity chiral center at C2 -receptor activity: beta > alpha | |
| alpha- methylnorepinephrine (1R, 2S) 1R, 2S isomer : maximum direct activity 1R, 2R isomer: indirect activity receptor activity: alpha 2 > alpha 1 | |
| terbutaline 3', 5'- dihydroxy substitution: orally active no COMT metabolism receptor activity: beta 2> beta 1 | |
| albuterol 3' hydroxymethyl,4'hydroxy substitution non catechol => orally active receptor activity: beta 2 > beta 1 | |
| Phenylephrine 3' hydroxyl substitution => alpha 1 activity | |
| Metaraminol 3' hydroxyl substitution => alpha 1 activity | |
| Methoxamine 2',5' -dimethoxy substitution => alpha 1 activity exception to SAR | |
| Pirbuterol beta 2 agonist cc: phenylethanolamies | |
| salmeterol beta 2 agonist cc: phenylethanolamines | |
| bitolterol -prodrug - phenylethanolamine - non catechol but still orally inactive - bi- toluoylester ( more lipophilic) - given by inhalation -hydrolyzed by esterase in the lungs to give colterol - twice the DOA than catechol | |
| Dobutamine (-) dobutamine : alpha 1 agonist + beta 1 agonist (little b2) (+) dobutamine: alpha 1 antagonist + beta 1 agonist (little b2) (10x) racemic mixture: selective beta 1 activity exception to SAR | |
| dopamine - not strictly adrenergic agonist - DA receptor agonist => dilates renal blood vessels - at higher dose acts on beta 1 receptor - at much higher dose acts on alpha 1 receptor - not orally active | |
| Ephedrine - mixed acting sympathomimetics - alkaloid from Ephedra species (Ma Huang) - non catechol : orally active more lipophilic - 1R, 2S: direct + indirect acting/ 1S,2R only indirect -used as nasal decongestant - cc: phenylethanoloamines | |
| pseudoephedrine - 1S, 2R and 1S, 2S : indirectly acting sympathomimetics | |
| Amphetamine indirectly acting sympathomimetics dextro> levo non catechol: orally active no hydrolysis: no OH, very lipophilic, CNS stimulant | |
| metamphetamine indirectly acting sympathomimetics dextro> levo non catechol: orally active no hydrolysis: no OH, very lipophilic, CNS stimulant | |
| propylhexedrine indirectly acting sympathomimetics same as metamphetamine dextro> levo non cathechol: orally active no hydrolysis: no OH, very lipophilic, POTENT CNS stimulant | |
| xylometazoline - alpha 1 adrenergic agonists - cc: imidazoline derivatives - contain a carbon between C2 of imidazoline and a phenyl ring - contain phenylethylamine moiety ortho methyl: agonistic activity at alpha 1 and alpha 2 receptors - bulky group at para position: increase alpha 1 and decrease alpha 2 activity - mainly used as nasal decongestant | |
| oxymetazoline - alpha 1 adrenergic agonists - cc: imidazoline derivatives contain a carbon between C2 of imidazoline and a phenyl ring - contain phenylethanolamine moiety ortho methyl: agonistic activity at alpha 1 and alpha 2 receptors - bulky group at para position: increase alpha 1 and decrease alpha 2 activity - mainly used as nasal decongestant | |
| tetrahydrozoline alpha 1 adrenergic agonists - cc: imidazoline derivatives contain a carbon between C2 of imidazoline and a phenyl ring - contain phenylethylamine moiety ortho methyl: agonistic activity at alpha 1 and alpha 2 receptors - mainly used as nasal decongestant | |
| naphazoline alpha 1 adrenergic agonists - cc: imidazoline derivatives contain a carbon between C2 of imidazoline and a phenyl ring - contain phenylethylamine moiety ortho methyl: agonistic activity at alpha 1 and alpha 2 receptors - mainly used as nasal decongestant | |
| clonidine - potent alpha 2 adrenergic receptor agonist -cc: imidazoline derivatives - developed as nasal vasoconstrictor - produce marked hypotensive effects, mainly centrally mediated through postsynaptic alpha2 adrenergic receptor - used as antihypertensive agent - effects on peripheral postsynaptic alpha 2 receptors: vasoconstriction - effects on peripheral presynaptic: negative feedback, decrease NE - pka 8.5, 80% ionized, 20% NI | |
| Apraclonidine clonidine-like alpha 2 adrenergic agonist imidazoline moiety | |
| brimonidine clonidine-like alpha 2 adrenergic agonist imidazoline moiety | |
| guanabenz potent alpha 2 adrenergic agonist non imidazoline clonidine like imidazoline ring not essential for alpha 2 agonistic activity | |
| guanfacine potent alpha 2 adrenergic agonist non imidazoline, clonidine like same indication as clonidine | |
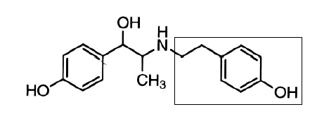
| alpha -methyldopamine others: alpha methyl dopa | |
| phenoxybenzamine - adrenergic antagonist - irreversible alpha blocker - non selective ( alpha 1 and 2 ) - Beta-haloalkylamine derivative - slow onset of action: because it is a prodrug, must undergo bioactivation (alkylated receptor active) -limited use in pheochromocytoma (cancer of adrenal medulla) | |
| tolazoline - adrenergic receptor antagonist - reversible - non selective ( blocks alpha 1 and 2 ) - similar to xylometazoline BUT no ortho substitution: no alpha agonistic effects - limited use in treatment of symptoms of pheochromocytoma | |
| phentolamine - adrenergic receptor antagonist - reversible - non selective ( blocks alpha 1 and 2 ) - limited use in treatment of symptoms of pheochromocytoma | |
| prazosin - selective alpha 1 receptor antagonist reversible - quinazoline derivative -contain 4-amoni-6-7-dimethoxyquinazoline ring connected to piperazine at C2 -lower Blood Pressure | |
| terazosin selective alpha 1 receptor antagonist reversible | |
| doxazosin selective alpha 1 receptor antagonist reversible | |
| tamsulosin selective alpha 1 receptor antagonist reversible high affinity to alpha 1 A subtype present in prostate gland => used to treat BHP ( benign prostatic hyperplasia) - cc: sulfonamide phenylpropylamine | |
| indoramin - reversible selective alpha 1 receptor antagonist and H1 (histamine) and 5receptor antagonistHT (serotonin) - indole derivative | |
| yohimbine - reversible selective alpha 2 blocker - indole alkaloid from Yohimbe bark - increase Blood Pressure AND Heart Rate (cause increases NE) - very limited use to treat male sexual impotency | |
| practolol - Beta adrenergic receptor antagonist - aryloxypropanolamine with p-acylamino -change of acylamino to ortho or meta => loss of selectivity - inhibited isoproterenol induced tachycardia with minimal effects on isoproterenol induced hypotension -withdrawn from the market due to visual loss | |
| pronethalol - beta adrenergic receptor antagonist non selective -arylethanolamine - no partial agonistic activity - carcinogenic in animals | |
| propranolol -aryloxypropanolamine -beta adrenergic receptor non selective -10X> potent -no partial agonistic activity -not carcinogenic - used in hypertension, agnia pectoris, arrhythmia, migraine | |
| bunolol -non selective beta adrenergic receptor antagonist | |
| carteolol -non selective beta adrenergic receptor antagonist | |
| metipranolol -non selective beta adrenergic receptor antagonist - exception para postion - ester hydrolysis=> short acting | |
| nadolol -non selective beta adrenergic receptor antagonist | |
| penbutolol -non selective beta adrenergic receptor antagonist | |
| pindolol -non selective beta adrenergic receptor antagonist | |
| sotalol -non selective beta adrenergic receptor antagonist - aryl sulfonamide ethanolamine derivative | |
| timolol -non selective beta adrenergic receptor antagonist | |
| acebutolol -selective beta 1 adrenergic receptor antagonist cardio slective | |
| atenolol -selective beta 1 adrenergic receptor antagonist cardio slective | |
| betaxolol - selective beta 1 adrenergic receptor antagonist cardio selective | |
| esmolol - selective beta 1 adrenergic receptor antagonist cardio slective | |
| metoprolol selective beta 1 adrenergic receptor antagonist cardio selective | |
| bisoprolol selective beta 1 adrenergic receptor antagonist cardio selective beta adrenergic antagonists hydroxyl group R configuration for max activity | |
| labetolol non selective beta blocker and alpha 1 blocker mixed acting | |
| carvedilol non selective beta blocker and alpha 1 blocker mixed acting | |
| metyrosine - drugs affecting NE biosynthesis - tyrosine hydroxylase inhibitor | |
| carbidopa - drugs affecting NE biosynthesis - L-Dopa decarboxylase inhibitor | |
| reserpine -drugs affecting NE storage ( catecholamine depleting agents) - indole alkaloid -isolated from Rauwolfa Serpentina - inhibit catecholamine storage in storage vesicle => depletion of catecholamines | |
| guanadrel - drugs affecting NE release ( adrenergic neuronal blocking agents) not given orally erratic absorption highly basic so highly ionised less CNS effects if dizziness then due to antihypertensive | |
| guanethidine - drugs affecting NE release ( adrenergic neuronal blocking agents) | |
| bretylium - drugs affecting NE release ( adrenergic neuronal blocking agents) | |
| ergot alkaloid - produced by calviceps purourea, a fungus that infects grains | |
| ergotamine - ergot alkaloid - produced by calviceps purourea, a fungus that infects grains -mixed agonist/ antagonist - potent smooth muscle contraction - also used for migraine treatment | |
| ergonovine -ergot alkaloid -mixed agonist/ antagonist - potent smooth muscle contraction - also used for migraine treatment - potent inducer of uterine - because of better bioavailability, used to replace ergotmaine | |
| methylergonovine -ergot alkaloid -mixed agonist/ antagonist - potent smooth muscle contraction - also used for migraine treatment - potent inducer of uterine - because of better bioavailability, used to replace ergotmaine | |
| methylseregide -ergot alkaloid -mixed agonist/ antagonist -mainly used for migraine treatment | |
| Morphine (basic compound) - cc: phenantrene - teriary amine group, N-methyl: good agonist Removal of N-methyl: decrease activity increase size of alkyl group: antagonist metabolism: Major pathway- 3' O-conj (Glu/Sulfation) 6' O-Glu active metabolite | |
| Opium Alkaloids -phenanthrene (morphine like)= CNS depressant -benzylisoquinoline (papaverine like)= Anti spasmodic | |
| benzoquinone -oxidation of morphine product | |
| codeine - weak mu agonist - potent antitussive agent -partial O-demethylated => morphine | |
| Heroin -3,6-diacetyl derivative of morphine - weak affinity to mu receptor -more lipophilic: penetrates BBB - hydrolyzed in the brain to give: 3-acetylmorphine (3-MAM) 6-acetylmorphine (6-MAM) - 6-MAM has potent mu agonist | |
| oxymorphone - 3-hydroxy-N-methyl derivative 10X as potent as morphine - 14 beta hydroxyl enhances mu agonist activity and decrease antitussive activity | |
| oxycodone -3-hydroxyl-N-methyl derivative same activity as morphine but better oral bioavailability - 14 beta hydroxyl enhances mu agonist activity and decrease antitussive activity | |
| naloxone - N-allyl oxymorphone - pure non selective opioid receptor antagonist | |
| nalorphine - N-allyl substitution for N-methyl 7,8-double bond reduction 6-keto reduction structure is wrong (no double bond + 14 beta OH) | |
| morphinan - removal of 4,5 epoxide bridge (modification of E ring) | |
| (-) levorphanol -removal of 4,5 epoxide bridge - 8X more potent mu receptor agonist | |
| (-) butorphanol -removal of 4,5 epoxide bridge - mu antagonist and kappa agonist | |
| (+) dextromethorphan -removal of 4,5 epoxide bridge (+) levorphanol = dextrophan - lacks analgesia - antitussive activity | |
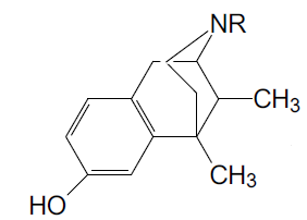
| benzomorphans - lacks the epoxide ring and the C ring - retain opioid activity | |
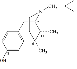
| cyclazocine - R: N-cyclopropyl methyl - mixed agonist/ antagonist kappa agonist mu antagonist | |
| phenazocine - R: N-ethylphenyl -potent mu agonist about 10X> morphine | |
| pentazocine -R: N-methyl of 2-methyl-2-butene - mixed agonist/antagonist kappa agonistic activity: analgesic mu antagonistic activity -only one marketed in US | |
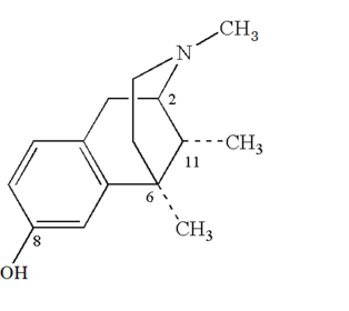
| metazocine -R: CH3 - mu agonist -metazocine > morphine | |
| meperidine - A and D ring analogs of morphine - cc: phenylpiperidine -first synthesized agent with mu agonist activity of 1/4 of morphine -give active metabolite (normeperidine) but still short DOA cause rapid ester hydrolysis (useful in some medical procedures) they made a reverse ester that still acted like an agonist but metabolised into MPTP (toxic) | |
| MPTP 1-methyl-4-phenyl-1,2,3,6-tetrahydropyridine -damages DA neurons => parkinsonism - product of reversed ester of meperidine | |
| fentanyl - cc: anilidopiperidine they're very lipid soluble so can reach the brain - 80X> potent than morphine | |
| sufentanil - cc: anilidopiperidine - 10X> potent than fentanyl (fentanyl 80X> morphine) | |
| remifentanyl - cc: anilidopiperidine - 25X> potent than morphine | |
| alfentanil - cc: anilidopiperidine - 20X> potent than morphine | |
| methadone -cc: diphenylheptanone - orally active and long DOA cause gives active metabolites (normethadone, dinormethadone) - useful for maintenance therapy of opoids addicts and for pain suppression of terminally ill patients structural modification gives you loperamide and diphenoxylate (antidiarrheal) METABOLISM METHADONE & LAAM (5) | |
| isomethadone gives you propoxyphene (ester) (analgesic) | |
| diphenoxylate -cc: diphenylheptanone - structural modification of methadone -antidiarrheal opioids -weak mu agonist so not accurate to call it ester prodrug -difenoxin is zwitterion (x5 more active) that forms after ester hydrolysis (limit CNS penetration) | |
| loperamide -cc: diphenylheptanone - structural modification of methadone -antidiarrheal opioids -limited CNS penetration cause 3 reasons even though highly lipophilic | |
| thebaine (papavera bracteatum) -oripavine derivative - from papaver bracteatum no activity as opioid agonist | |
| etorphine - oripavine derivative - 1000 X> morphine - severe respiratory depression -low therapeutic index in humans, used for veterinary medicine | |
| buprenorphine -orpavine derivative - 20-50X> morphine - mixed agonist / antagonist -does not produce tolerance and addiction better than methadone at treating opioid addiction | |
| tramadol - synthetic weak mu agonist (O-demethyl metabolite is 6X> parent drug) - orally active - possess opioid and non opioid analgesic activity (analgesic not reversed by naloxone) - -less respiratory depression than morphine | |
| dezocine -mixed agonist / antagonist -only primary amine opoid agent - exact receptor selectivity is not known - equipotent with morphine | |
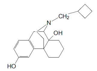
| nalbuphine - N-cyclobutylmethyl substitution for N-methyl 7,8-double bond reduction 6 keto reduction -mu antagonist and kappa agonist | |
| naltrexone -N-cyclopropyl-methyl oxymorphone - pure non selective opioid antagonist |
Want to create your own Flashcards for free with GoConqr? Learn more.