|
|
Created by Hannah David
almost 11 years ago
|
|
| Question | Answer |
| A-angle-n | (1-v^n)/i |
| S-angle-n | (1+i)^n-1/i |
| Perpetuity Immediate A-angle-infinity | 1 / i |
| m | a-angle-n | v^m (a-angle-n) |
| d = | (i/1+i) = iv = 1-v |
| v = | 1/(1+i) = 1-d = e^-delta |
| delta = | ln(1+i) |
| Compound --> | (1+i)^t = (1-d)^-t = e^(delta*t) |
| Compound <-- | v^t = (1-d)^t = e^(-delta*t) |
| Simple Interest vs Compound Interest | AV_t = P(1+it) & AV_t = P(1+i)^t |
| Varying Force of Interest | PV is negative integral |
| PV of increasing annuity-immediate |
Image:
ia-angle-n (image/png)
|
| AV of increasing annuity-immediate |
Image:
is-angle-n (image/png)
|
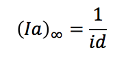
| PV of Increasing perpetuity-immediate |
Image:
ia-infinity (image/png)
|
| PV of decreasing annuity immediate |
Image:
da-n (image/png)
|
| AV of decreasing annutiy immediate |
Image:
ds-n (image/png)
|
| PV of Continuously Increasing Annuitiy |
Image:
i_bar_a_bar (image/png)
|
| AV of Continuously Increasing Annuitiy |
Image:
i_bar_s_bar (image/png)
|
| Continuously varying payment | AVx, 2nd integral is positive and from t to x |
| Compound Immediate | |
| pthly annutiy | i(p) on the bottom |
| Relationship between ireal Inflation and Interest | |
| Net Present Value | r is IRR when NPV=0 |
| Dollar-weighted |
Image:
dollar_weighted (image/png)
|
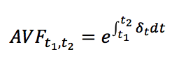
| Time-Weighted |
multiply, don't add
Image:
Time_weighted (image/png)
|
| Amortization Method Level Payment of P |
Image:
payment_loan (image/png)
|
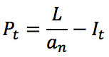
| Amortization Method Balance at time t |
Image:
Balance_at_t (image/png)
|
| Amor Interest Paid in Payment t |
Image:
interest_paid (image/png)
|
| Amor Principal Portion of Loan |
Image:
payment (image/png)
|
| Sinking Fund Method Annual Payments |
Service Payment + Sinking Fund Payment
Image:
total_payment (image/png)
|
| Sinking Fund Method Net Amount Outstanding at t |
Image:
Net_amoun (image/png)
|
| General Sinking Fund |
Image:
Sinking_Fund (image/png)
|
| Price of Bond |
Image:
Price (image/png)
|
| Book Value of a Bond |
BVt= P(1+i)^t - Frs_ni
BV is value after purchase but before maturity
Image:
Book_Value (image/png)
|
| Premium Amortization |
How much BV decreases in value
Image:
PA (image/png)
|
| PV of Stock | |
| Price-to-earnings (P/E) ratio |
Image:
pe_ratio (image/png)
|
| Dividend Growth Valuation | P0=div1/ r-g |
Want to create your own Flashcards for free with GoConqr? Learn more.