| Question | Answer |
| Line Integral Formula | |
| Line Integrals WRT x or y | |
| Fundamental Theorem for Line Integrals | |
| Green's Theorem | |
| Curl | |
| Definition of Curl | |
| Curl of Gradient Theorem | |
| Divergence | |
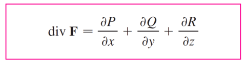
| Definition of Divergence | |
| div curl F Theorem | |
| Surface Integral Formula | |
| Moar Surface Integral |
Want to create your own Flashcards for free with GoConqr? Learn more.