Equations - Term 3 Exam

Description

Mathematics (Term 3) Flashcards on Equations - Term 3 Exam, created by maddie.rapisardi on 06/09/2013.
maddie.rapisardi
Flashcards by maddie.rapisardi, updated more than 1 year ago
maddie.rapisardi
Created by maddie.rapisardi about 12 years ago
31
0

Resource summary

Question Answer
Formula for exponential functions y = ab ^x
pi/6 30
pi/2 90
pi/3 60
2pi/3 120
3pi/2 270
2pi 360
Formula for Compound Interest A = P(1+i)^n A = Amount P = Principle i = interest n = number of rests
Which quadrants allow for positive sin, cos and tan? Represent in a diagram.
t^8/t^4 = t^8-4 = t^4
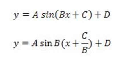
Periodic Function Formulas (Sin)
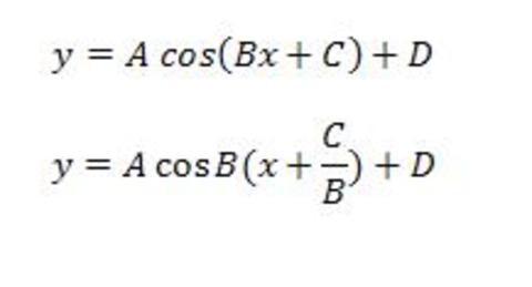
Periodic Function Formulas (Cosine)
Show full summary Hide full summary

Similar

The SAT Math test essentials list
lizcortland
How to improve your SAT math score
Brad Hegarty
GCSE Maths: Pythagoras theorem
Landon Valencia
Edexcel GCSE Maths Specification - Algebra
Charlie Turner
Mathematics
Corey Lance
Graph Theory
Will Rickard
Projectiles
Alex Burden
Mathematics Overview
PatrickNoonan
MODE, MEDIAN, MEAN, AND RANGE
Elliot O'Leary
FREQUENCY TABLES: MODE, MEDIAN AND MEAN
Elliot O'Leary
HISTOGRAMS
Elliot O'Leary