ECO 351 - Business Statistics II - Vocabulary and Equations

Description

Some vocabulary and equations from my Spring 2015, ECO 351 - Business Statistics II course at UNCG
LemonKing
Flashcards by LemonKing, updated more than 1 year ago
LemonKing
Created by LemonKing almost 11 years ago
67
1

Resource summary

Question Answer
Standardized random variable A random variable x is a variable whose outcome is determined by chance
Statistic A method or procedure to calculate a quantity from the sample
Sampling distribution The sampling distribution of an estimate is the probability distribution over all possible outcomes
Population standard deviation Is given by σ and measures the variance from the population mean
Probability Density Function A probability density function f(x) is a non-negative function that describes a continuous random variable X. The area under the graph is probability
Hypothesis Statement about a population parameter
Null hypothesis H0 “status quo” – something you don’t expect = >= <=
Alternative Hypothesis HA What you expect, change from status quo – what you’re trying to confirm /= < >
Regression Analysis Technique to quantify a relation between 2 or more variables. Uses variation in one or more variables to explain/predict variation in another variable. Regression can only establish existence of a relation. But not whether the relation is causal
Stochastic Error Term A term that is added to a regression equation to introduce all of the variation in Y that cannot be explained by the included X’s.
Ordinary Least Squares (OLS) A regression estimation technique that calculates the β ̂s so as to minimize the sum of the squared residuals.
Multivariate Regression Coefficient Indicates the change in the dependent variable associated with a one-unit increase in the independent variable in question holding constant the other independent variables in the equation.
Estimator A statistic used to estimate a particular parameter
Estimate A particular value determined by the estimators
6 Steps to Hypothesis Testing Step 1: Formulate null and alternate hypothesis Step 2: Set the significance level Step 3: Determine the critical value and rejection region of the test. The critical value z* or t* is such that a probability is in the “tails” Step 4: Calculate the statistic using sample information and H0 Step 5: Compare value of z or t to z* or t* - Reject H0 or fail to reject H0 Step 6: State the conclusions
Explain the difference between µ and X ̅. µ is the population mean X ̅ is the sample mean
What is the difference between an estimator and an estimate? Give an example of each. Estimator is a statistic used to estimate a particular parameter: OLS is an estimator Estimate is a particular value determined by the estimators: β ̂ produced by OLS is an estimate
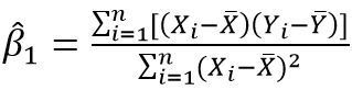
Equation to Calculate Beta Hat 1
Equation to Calculate Beta Hat 0
TSS = RSS + ESS Total Sum of Squares = Explained Sum of Squares + Residual Sum of Squares
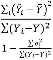
R^2 represents what value? coefficient of determination (ESS / TSS) or [1 - (RSS / TSS)]
Formula to Calculate R^2 (ESS / TSS) or [1 - (RSS / TSS)]
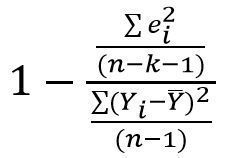
Formula to Calculate Rbar^2
The Residual Value
Total Sum of Squares TSS = ESS + RSS
Explained Sum of Squares Attributable to the fitted regression line
Residual Sum of Squares The unexplained portion of TSS in an empirical sense by the estimated regression equation
The Simple Correlation Coefficient, r A measure of the strength and direction of the linear relationship between two variables 1. If two variables are perfectly positively correlated, then r = +1 2. If two variables are perfectly negatively correlated, then r = -1 3. If two variables are totally uncorrelated, then r = 0
Degrees of Freedom The excess number of observations over the number of coefficients (N - 1) ------------- (N - K - 1)
R ̅^2 Measures the percentage of the variation of Y around its mean that is explained by the regression equation, adjusted for degrees of freedom.
Unbiased Estimator The estimator beta hat is an unbiased estimator if its expected value (taken with respect to its sampling distribution) is equal to the population parameters. In other words, E(Bhat) = B
Six steps of Applied Regression Analysis
3 components of specifying a model 1) The independent variables and how they should be measured 2) the functional (mathematical) form of the variables 3) the properties of the stochastic error term
Specification Error A mistake in any of the three elements of specification
dummy variable A variable that takes on the value of 1 or 0 depending on whether a specified condition holds
Priors prior theoretical beliefs, or working hypothesis, imposed on a regression equation
Outlier An observation that lies outside the range of the rest of the observations. Looking for outliers is an easy way to find data entry errors
Show full summary Hide full summary

Similar

Statistics Vocab
Nabeeha Yusuf
ECO 351 - Business Statistics II - Problem Set 2
LemonKing
ECO 370 - Labor Economics - Problem Sets
LemonKing
Using GoConqr to study Economics
Sarah Egan
Economics
Emily Fenton
Statistics Key Words
Culan O'Meara
TOEFL English Vocab (A - M)
Ali Kane
Forms of Business Ownership Quiz
Noah Swanson
Random German A-level Vocab
Libby Shaw
AN ECONOMIC OVERVIEW OF IRELAND AND THE WORLD 2015/16
John O'Driscoll
Unit 3 Business Studies
Lauren Thrower