null
US
Sign In
Sign Up for Free
Sign Up
We have detected that Javascript is not enabled in your browser. The dynamic nature of our site means that Javascript must be enabled to function properly. Please read our
terms and conditions
for more information.
Next up
Copy and Edit
You need to log in to complete this action!
Register for Free
2129566
ECO 319 - Quantitative Analysis I - Quiz 4 Practice
Description
Quiz 4 Practice from my Spring 2015 ECO 319 - Quantitative Analysis I course at UNCG.
No tags specified
economics
econ
econometrics
eco
undergraduate
uncg
calculus
uncg spring 2015
eco 319 - quantitative analysis i
college
Flashcards by
LemonKing
, updated more than 1 year ago
More
Less
Created by
LemonKing
over 10 years ago
8
0
0
Resource summary
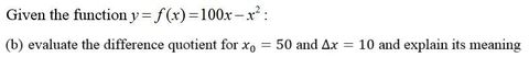
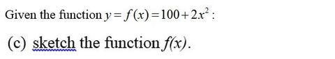
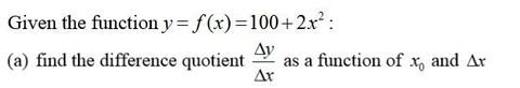
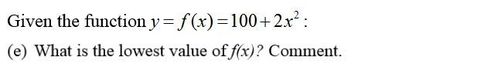
Question
Answer
Image:
eda33c18-6704-4b56-99e7-57232ea948c2 (image/jpg)
?
Image:
2b71d6fa-766f-44e0-9d8c-24e9dbb1b931 (image/jpg)
?
Image:
e003d944-1922-4e41-be9d-6952da4e8257 (image/jpg)
?
Image:
d55b18fd-ba92-4f53-a444-3fdcc54620bf (image/jpg)
?
Image:
ab0efcf0-9a59-41b2-9a83-a027fdef4826 (image/jpg)
?
Image:
d2f1b08c-31fc-4a38-a713-a545977882f7 (image/jpg)
?
Image:
c6c4ad1b-2c18-4c78-8c55-086e6cb688c5 (image/jpg)
?
Image:
da761933-0a1c-452d-a938-91929d2ce07b (image/jpg)
?
Image:
3179fd9b-d01c-4f9d-8fde-5002310beff5 (image/jpg)
?
Image:
16e0693e-95cc-4e2b-ba35-bda208f2fdae (image/jpg)
?
Image:
3db40d79-ab96-4c1d-9529-18b656ffa048 (image/jpg)
?
Image:
57b3153a-922a-4d27-95c5-980b8312a07b (image/jpg)
?
Image:
a16fd1c8-ad8a-4837-b141-f1d3454dd8ea (image/jpg)
?
Image:
9e0d4724-55e7-46cb-967e-fbcbcc2a8192 (image/jpg)
?
Image:
9f63120d-5364-4069-ae30-3e28ee66b3a5 (image/jpg)
?
Show full summary
Hide full summary
Want to create your own
Flashcards
for
free
with GoConqr?
Learn more
.
Similar
ECO 351 - Business Statistics II - Problem Set 2
LemonKing
Using GoConqr to study Economics
Sarah Egan
Economics
Emily Fenton
AN ECONOMIC OVERVIEW OF IRELAND AND THE WORLD 2015/16
John O'Driscoll
Economics - unit 1
Amardeep Kumar
Using GoConqr to teach Economics
Sarah Egan
Functions of Money
hannahcollins030
ECO 370 - Labor Economics - Problem Sets
LemonKing
Comparative advantage
jamesofili
Employment and unemployment
Keanna Ki
GCSE - Introduction to Economics
James Dodd
Browse Library