Edexcel Core 4

Description

A-level Core Maths C4 Flashcards on Edexcel Core 4, created by jack3740 on 17/03/2015.
jack3740
Flashcards by jack3740, updated more than 1 year ago More Less
J000D97
Created by J000D97 over 10 years ago
jack3740
Copied by jack3740 over 10 years ago
31
6

Resource summary

Question Answer
What what values of x is this binomial expansion valid? √(1-3x) I-3xI<1 I3xI<1 IxI<1/3
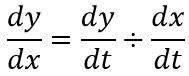
What is the differentiation formula for parametric equations?
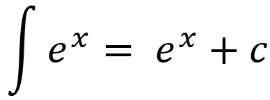
What is the differential of aˣ ? aˣlna
If a rate is proportional to x then it can be said that the rate expression = ... kx
A vector quantity has both.... magnitude and direction
What is a scalar? A single number with only magnitude/size but no direction.
What is the triangle law? A law for adding vectors
Adding the vectors PQ and QP gives... 0
The modulus of a vector gives its... Magnitude
How do you find the unit vector of a vector a? a ---- I a I
If ƛa + µb = άa + βb and the non-zero vectors a+b are not parallel... ƛ = ά µ = β
The distance from the origin to point (x, y, z) is... √x²+y²+z²
THe distance between 2 points: ₂₃₁ (x₁, y₁, z₁) and (x₂, y₂, z₂) is... √[ (x₁-x₂)² + (y₁-y₂)² + (z₁-z₂)² ]
What is a.b called? The scalar product
What is the formula for the scalar product of 2 vectors? a.b = I a I I b I cos ϴ
If two vectors are perpendicular then a.b = ... a.b = 0
If 2 vectors are parallel a.b = ... a.b = I a I I b I
What is the sec²x identity?
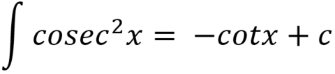
What is the Cot²x identity?
What is the sine double angle identity?
What are the 2 forms of the cosine double angle identity?
What is the integration by recognition formula for a fraction?
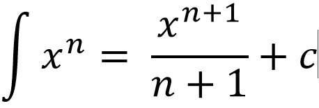
What is the integration by recognition formula for functions with powers?
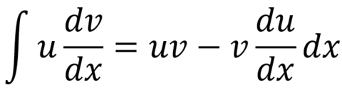
What is the integration by parts formula?
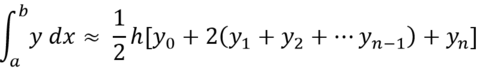
What is the trapezium rule?
What is the formula for calculating h in the trapezium rule?
What is the formula for solids of revolution 360 degrees of f(x)?
Which method can you use to solve this and what is its formula? Separating of variables
Show full summary Hide full summary

Similar

WJEC Core 4 Maths - Key Facts
Daniel Cox
GCSE Chemistry - module c4
jessmitchell
C4 - Formulae to learn
Tech Wilkinson
C4: Chemical Patterns
erin cobo
Additional Science Chemistry C4 Revision Summary - OCR 21st Century
mariannakeating
C4 - The periodic table
Nicole Saville
Mathematics: Core (Notes 1 of 1)
declanlarkins
C4 Quiz
Leah Firmstone
B4-Biology
ellanabishop
C4 - The Periodic Table
Tom Mitchell
C4-Chemistry
ellanabishop