GCSE Maths Symbols, Equations & Formulae

Description

This Flashcard deck shows you the formulae needed for your GCSE Maths exam. This includes Algebra equations and Geometry formulae.
livvy_hurrell
Flashcards by livvy_hurrell, updated more than 1 year ago More Less
Andrea Leyden
Created by Andrea Leyden over 10 years ago
clowaters
Copied by clowaters over 10 years ago
livvy_hurrell
Copied by livvy_hurrell over 10 years ago
1991
133

Resource summary

Question Answer
\[\pi\] 3.141592
Circumference of a Circle C = 2\(\pi\)r
Perimeter of a Semi-circle \(\pi\) x r + 2 x r
Perimeter of a Quarter Circle \(\frac{1}{2}\) x \(\pi\) x r + 2 x r
Area of a Circle \(\pi\)\(r^2\)
Area of a Semi-circle \(\frac{1}{2}\) x \(\pi\) x \(r^2\)
Area of a Quarter Circle \(\frac{1}{4}\)\(\pi\)\(r^2\)
Area of a Rectangle base x height
Area of a Triangle \(\frac{1}{2}\) x base x height
Area of a Parallelogram base x height
Area of a Trapezium \(\frac{1}{2}\)(a + b)h
Area of a Sphere 4\(\pi\)\(r^2\)
\[a^2\] a x a
\[b^3\] b x b x b
\[c^4\] c x c x c x c
\[4d^2\] 4 x d x d
\[2e^3\] 2 x e x e x e
\[4y^2 - y\] when y = 3, y = ? (4 x y x y) - y = (4 x 3 x 3) - 3 = 33
Equation of a Straight Line y = mx + c
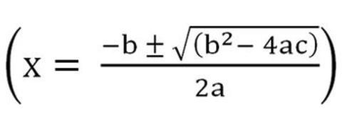
Quadratic Equations
Show full summary Hide full summary

Similar

GCSE Maths: Understanding Pythagoras' Theorem
Micheal Heffernan
GCSE Maths: Geometry & Measures
Andrea Leyden
Similar Triangles
Ellen Billingham
Pairs of Angles
BubbleandSqueak
Maths: Geometry
noajaho1
Mass and Momentum
katie.barclay
FREQUENCY TABLES: MODE, MEDIAN AND MEAN
Elliot O'Leary
CUMULATIVE FREQUENCY DIAGRAMS
Elliot O'Leary
STEM AND LEAF DIAGRAMS
Elliot O'Leary
GCSE Maths: Algebra & Number Quiz
Andrea Leyden
Maths Revision- end of year test
hannahsquires