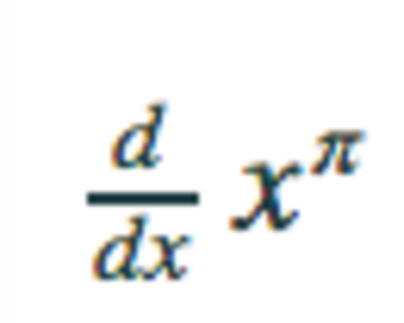
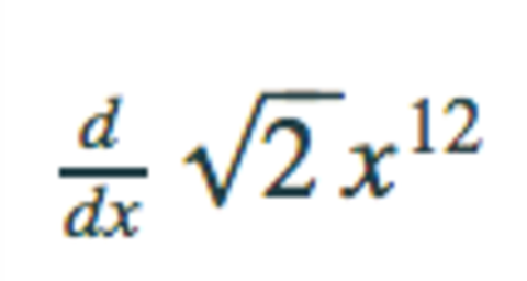
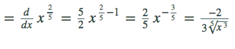
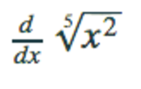
Power Rule:

Description

high school Derivatives Flashcards on Power Rule:, created by lakelife62 on 04/10/2013.
lakelife62
Flashcards by lakelife62, updated more than 1 year ago
lakelife62
Created by lakelife62 about 12 years ago
176
1

Similar

Basic Derivative Rules
Bill Andersen
Vocabulary Primary Derivatives
Mary Messina
Rules for differentiation
Irene Serrano
Calc 1 Exam 2
Sterling Werfal
Derivatives
Jordan Clark
Integraler och Derivator
Albert Holton
CBHS Derivatives
Elizabeth Nguyen
Integrals and derivates
Albert Holton
Calc 1 Exam 2
Annie Bortz
Basic Derivative Rules
Brandon Anderson
Basic Derivative Rules
Murron Carroll