| Question | Answer |
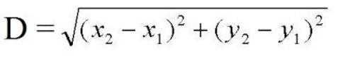
| Distância entre dois pontos |
Image:
images (image/jpeg)
|
| Ponto médio |
Image:
CodeCogsEqn (image/png)
|
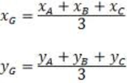
| Baricentro |
Image:
_ndice (image/jpeg)
|
| Área |
Image:
CodeCogsEqn (image/png)
|
| Paralelismo |
Image:
CodeCogsEqn (image/png)
|
| Perpendicularismo |
Image:
CodeCogsEqn (image/png)
|
| Distância de um ponto à reta |
Image:
CodeCogsEqn (image/png)
|
Want to create your own Flashcards for free with GoConqr? Learn more.