Total Internal Reflection

Description

GCSE Total internal reflection.
18faishasu
Flashcards by 18faishasu, updated more than 1 year ago
18faishasu
Created by 18faishasu about 10 years ago
82
2

Resource summary

Question Answer
What is total internal reflection? Total internal reflection is when a light ray hits the boundary between two materials of different densities and is reflected rather than refracted.
What must happen for total internal reflection to occur? 1) The angle of incidence must be greater than the critical angle. 2) The light must be passing from a medium with a higher refractive index to a medium with a lower refractive index.
What is the critical angle? The critical angle is when the angle of incidence produces an angle of refraction of 90° (or refraction along the boundary).
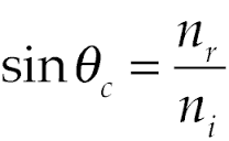
How do you calculate the critical angle? where 0c is the critical angle, and nr and ni are refractive indexes.
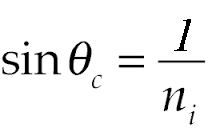
How do you calculate the critical angle if light is passing from x medium into air? because 1 is the refractive index of air.
What material gives the smallest critical angle? Diamond.
What can total internal reflection be used for? 1) Fibre optic cables. 2) Prismatic optical instruments. 3) Bicycle reflectors.
How is total internal reflection used in optical fibres?
What are optical fibres used for? Optical fibres are used in high-speed communications, such as cable TV and broadband.
What two types of optical fibres are used in telecommunications? 1) Step index fibre - the core is uniform with one refractive index while the outer cladding has a lower index. 2) Graded index fibre - the refractive index of the material gradually decreases outwards from the centre.
Show full summary Hide full summary

Similar

AQA Physics P1 Quiz
Bella Statham
GCSE AQA Physics - Unit 3
James Jolliffe
Using GoConqr to study science
Sarah Egan
GCSE AQA Physics 1 Energy & Efficiency
Lilac Potato
Waves
kate.siena
Forces and their effects
kate.siena
Forces and motion
Catarina Borges
Junior Cert Physics formulas
Sarah Egan
OCR Physics P4 Revision
Dan Allibone
P2 Radioactivity and Stars
dfreeman