AP CHEM Ch.1

Description

AP Chemistry (Baron's 2013 AP CHEM Ch.1) Flashcards on AP CHEM Ch.1, created by KonSpiral on 26/11/2013.
KonSpiral
Flashcards by KonSpiral, updated more than 1 year ago
KonSpiral
Created by KonSpiral almost 12 years ago
54
0

Resource summary

Question Answer
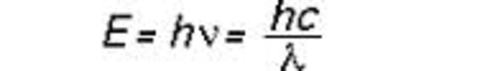
Energy of light as a wave
λ lambda (Wavelength)
c (Speed of Light in Vacuum)
h Planck's Constant
v nu (frequency)
State the Pauli Exclusion Principle No two electrons in an atom have the same 4 quantum numbers.
State the concept of the Heisenberg Uncertainty Principle The concept of this equations states that it is impossible to know the momentum and position of an electron at the same time only one can be known per moment.
Energy of light as a particle
Show full summary Hide full summary

Similar

AP CHEM Ch.1
KonSpiral
Baron's AP Chemistry 2013
KonSpiral
Thermodynamics Unit
Rachel Todd
AP Chemistry Polyatomic Ions
fitzsik194
Lewis Structures and Octet Rule
Holland Spears
AP CHEM Ch.2
KonSpiral
Chapter 3: Chemical Stoichiometry
Ayren Mcg
AP CHEM Ch.3
KonSpiral
Cations
Holland Spears