|
|
Created by Luke Hansford
about 10 years ago
|
|
| Question | Answer |
| Why is orbital mechanics important? | -Different orbits enable satellites to perform different missions -Necessary to know position and velocity at all times - Trajectory of a satellite is determined by its initial conditions (position and velocity after launch) |
| Copernicus (1473-1543) proposed what? | The sun was at the centre of the universe instead of the earth. |
| Brahe (1546-1601) did what? | Collected astronomical data on planets |
| Kepler (1571-1630) worked on what? | The data collected by Brahe to create Laws. These were made by observation, Newton later made mathematical proofs for them later |
| What does peri-x and apo-x mean respectively? | Peri closest point, apo furthest point |
| What does -gee, -helion, -lune, -apsis mean? | Earth, sun, moon, non-specific. |
| Orbits of planets are what shape around which body and how many foci? | The shape of the orbits are ellipses around the sun and the sun is the only foci |
| What does orbit mean? | A closed circuit or recurring path that a spacecraft to planet follows around a body |
| What do the following values of 'e' (eccentricity) mean? e<1 e>1 e=0 e=1 | e<1 orbit is closed - recurring path (elliptical) e>1Not an orbit passing trajectory (hyperbolic) e=0 Circle e=1 Parabola like x^2 |
| How do you find the radius of periapsis and apoapsis? | |
| How do you calculate the semi major axis, a, eccentricity, e, location of focal centre, Cp, area of ellipse and semi minor axis,b? | Where Ra is radius of apoapsis: a=(Ra+Rp)/2 e=(Ra-Rp)/(Ra+Rp) Cp=a-Rp=ea Area=π*a*b b=a(1-e^2)^(1/2) |
| Equation of ellipse? | |
| Where is the altitude of a satellite measured from? | Centre of the Earth so its altitude is Earths radius + height above Earths surface |
| What is significant about the line from the sun to planets sweeping arounds its orbit? | The area swept by the line from the sun to the planet at any points at its orbit is constant |
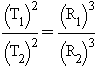
| What is K3? | The square of the period of an orbit is directly proportional to the cube of its semi major axis. |
| What is a sidereal day? | The time taken for the stars to comeback to the position overhead (23h56mins) |
| What is a solar day? | Solar days are how long it takes for the sun to come back overhead 24h |
| Which day does the Earth rotate 360 degrees? | Sidereal day is 360 degree rotation, a solar day is 361 degrees. |
| Which day are satellites are aligned to? | Sidereal day NOT solar |
| What are Newtons 3 laws? | 1st - An object remains at rest or consent v until acted on by an external force. 2nd - F=ma (vectors) 3rd - Every action has an equal and opposite reaction |
| What is the celestial equator? | A line drawn around the earth which is equidistant from both the poles. The Earth is tilted 23.5degrees from its equator for the celestial orbit. THE EQUATOR IS NOT THE PLANE OF ORBIT. |
| What is the plane of orbit around the sun for the Earth? | This is the ecliptic orbit (not the equator) |
| Which direction does the earth move around the sun? | Anti-Clockwise |
| Which plane is used for interplanetary journeys? | The ecliptic |
| Which plane is used for Earth based missions? | The celestial plane (the equatorial plane) |
| Where is the first point of Aries? | Where the equatorial plane meets the ecliptic. |
| When is the vernal equinox? | 21st March |
| How are the vernal equinox and First point of Aries related? | They are both interceptions of the equatorial and ecliptic plane and they are both in the same direction. They are used as a reference direction. |
| ECI axis (Earth centered Inertial)? | x= Reference direction such as first point of Aries y= x x y (x cross y) z=is normal to fundamental plane (ecliptic/equatorial) |
| Earth Centered Earth-Fixed (ECEF) axis? | x=Reference direction - Greenwich Meridian y=z x x (z cross x) z=Normal to fundamental plane of equator |
| Spherical coordinate system | |
| What is Inclination? | The angle between the plane of reference and the orbit of the object |
| What is the true anomaly, v? | The angle between the periapsis and the object in its orbit along its plane (anti clockwise) |
| What is the argument of periapsis? | The angle between the ascending node and the periapsis |
| What is the longitude of/right ascension of the ascending node (RAAN)? | The angle between the vernal equinox (ref direction) and the ascending node taken anti-clockwise |
| What is a ground trace? | A projection of a satellites orbit onto the earth |
| What is special about the angle of ground trace? | If a satellite has an inclination of 45 degrees, on the ground trace it will have a maximum of 45 degrees latitude in both the northern and southern hemisphere. |
| What is a satellite with inclination of zero degrees? | Equatorial satellite (usually large altitudes) |
| What is a satellite with an inclination of 90 degrees? | Polar orbit satellite |
| What is a sun-synchronous orbit? | An orbit which has the satellite passing over the same part of Earth at roughly the same time each day. |
| Difference between ascending and descending node? | Ascending node is where the satellite passes up through the reference plane and the opposite for descending node. |
| What is the difference between retrograde and prograde? | Prograde orbit means the orbit is anti-clockwise (same direction as the Earth) or West to East and retrograde is the opposite. |
| What are the rough altitudes of the following satellites: LEO MEO GEO | LEO - 1000km MEO - 1000-36000km GEO - 36000-42000km |
| What issues arise for LEO orbits? | Aerodynamic drag as there is still residual atmosphere, this is further increased during periods of solar activity. |
| What does the Earth not being completely spherical result in? | It adds extra 'pull' when a satellite passes over the equator - rotating the position of the ascending node of the orbit. This is called 'Nodal Regression'. Perigee also moves and this is called 'precession of apsides' |
| How can nodal regression be useful? | If the correct inclination is selected for an orbit, then the node can move at the same rate as the sun. |
| What is a Molniya orbit? | An orbit with either 63.4 or 116.6 degree inclination. It is not affected by nodal regression. Its spends most of its time at apogee which is above USA and Russia (alternates every 12hr [period]) |
| What other factors effect orbits? | Gravitational irregularities (earth axis wobbles, moon sun and jupiter gravity and solar photon pressure) |
| What is attractive force in space? | also F=(mv^2)/r |
| What is kinetic energy in space? | |
| What is G.P.E? | |
| So What is total Energy in space? | |
| What is V-escape? | When G.P.E and K.E are equal |
| Why are these gravitational equations important? | So we can predict how a satellite is going to travel/behave in orbit in order to point ground radars for example. This helps with taking measurements both performing and time tagging. |
| How are force and radius related in terms of acceleration? | F=ma=m([d^2r]/[dt^2]) so a=([d^2r]/[dt^2])=μ/r^2 (μ=GM) |
| Distance to centre of mass between two masses, Ro? | Ro=(MR1+mR2)/(M+m) |
| Why are we interested in centre of mass? | Because both masses move around this position, the bary centre. Attractive force to this point from both masses but in opposite directions. |
| What if M>>m? | Then Ro (distance to centre of mass) is roughly equal to R1 as M is roughly the centre of mass. |
| What if d(Ro)/dt is constant? | Then there are no net forces acting on it |
| What if d^2(Ro)/dt^2 is zero? | Then the CoM can be found from initial conditions |
| What must we find in order to solve Keplers problems? | Radius as a function of time and theta |
| What is the conservation of momentum? | Net external torque acting on a system about a given axis is zero, the total angular momentum remains constant. |
| Define angular momentum, L | L=r x p (r cross p) = r x mv L= r x m*(dr/dt) |
| What does h represent? | h is specific angular momentum h = r x v |
| How does differentiating L= r x mr(dot) using chain rule give us the proof for angular momentum? Write out for clarity | Write out for clarity: L(dot) = [r(dot) x m*r(dot)] + [r x m*r(dotdot)] The first bracket r(dot) is being crossed against m*r(dot) so its parallel and therefore that bracket equals zero. The other bracket is r x m*r(dotdot) which is equal to r x F... F acts along r (gravitational force) and so is also parallel so L(dot)=zero so constant. |
| How can we rewrite h=r x v? Write out for clarity | a x b =|a||b|sinθ So r x v = |r||v|sinθ =r x v =|r||v|cos γ Flight path angle, γ =tan(vr/vθ) This the angle between the tangential velocity and the actual velocity (also =90-θ) v=(vr^2+vθ^2)^0.5 On diagram vII is vr and vI is vθ |
| For which points is the flight path angle zero? | Apogee and perigee |
| How does conservation of momentum apply to our last expression? | r1v1cos γ1=r2v2cos γ2 And of ra is apogee radius and rp is perigee radius... rava=rpvp |
| How can we rewrite specific angular momentum in terms of tangential velocity? | vθ=r |
| State the steps of the derivation of radial acceleration | 1. Differentiate polar co-ordinates dr(hat)/dθ and dθ(hat)/dθ 2. Chain rule to create expressions for radial and tangential velocities (rdot and θdot). 3. Differentiate in radial velocity in terms of time again and then substitute. |
| Step 1 | |
| Step 2 | |
| Step 3 | |
| What other useful equation is equal to what we have just found? | r dotdot= a = -μ/r^2 |
| What do each other terms in our derived equation represent? | 1. r dot dot = Acceleration along r 2. r*θdot^2=Centripetal acceleration 3. 2rdot*θdot = Coriolis acceleration due to change in radius. 4. rθdotdot = Euler acceleration due to angular acceleration |
| What is the significance of angular momentum being conserved? | Angular acceleration is zero. Therefore the second bracket of our derived equation is zero. |
| Use h=r^2*θdot to show angular acceleration is zero | h dot=0 = dh/dt= 2r*rdot*θdot+r^2*θdotdot h dot /r=0 =2rdot*θdot+rθdotdot Equals zero as change in angular momentum is zero. 2rdot*θdot+rθdotdot is our second bracket and as it equals zero proves theres no angular acceleration. |
| Prove angular momentum is zero using area swept by the radius | area of triangle, A=1/2 ab sin C dA=1/2 r*(r+dr)*sin dθ small angles so dr=0 and sin dθ = θ dA=1/2r^2θ dA/dt=constant=1/2r^2*dθ/dt=h/2 |
| Which substitution is used in the first stage of deriving the orbit equation? | r=1/u |
| Stage 1 of derivation | |
| Stage 2 | |
| Stage 3 | |
| Final required stage A=e*μ/h^2 and u=1/r | |
| What are the equations for position vector/orbit equation r , for an ellipse and specific energy? | |
| what does h^2/μ equal? | h^2/μ = a(1-e^2) |
| Using the orbit equation for ellipses, find the radii at perigee and apogee | rp when θ=0 so rp=a(1-e) rp=[a(1-e^2)]/(1+e) ra when θ=π so ra=a(1+e) |
| Use area to derive K3, step 1 | |
| Step 2 | |
| Step 3 | |
| Why is velocity important? | A change to it requires fuel |
| Derive the vis visa equation | |
| How does the vis versa equation change for a circular orbit? | Circular orbits don't have perigee and apogee and so a=r. So velocity in a circular orbit, vc^2=μ/r |
| When does Vescape occur? | When K.E is equal to potential energy 0.5mv^2=GMm/r So v=(2μ/r)^0.5 |
| What is the increase factor needed to go from vc to vescape? | (2^0.5 - 1)vc |
| How do you calculate hyperbolic orbit speeds? | Use specific energy two find the 'hyperbolic excess speed' at r=infinity and then at whatever radius required. The sum of the two speeds squared is equal to the hyperbolic orbit speed squared. Vh^2=Vinf^2+Vesc^2 |
| What is the Kepler equation? | M=n(t-t0)=E-eSinE Where M = mean anomaly, rad n=mean motion, rad/s t-t0 = time since periapsis, s E=Eccentric anomaly, rad e= eccentricity |
| What is mean anomaly? | angle from periapsis if body is in a circular orbit with the same period. |
| What is the mean notion? | If the spacecraft was traveling on the circle its angular velocity would be equal to the mean notion. |
| Describe the launch losses which occur | Gravity losses due to large horizontal impulse which takes finite time (extra propellant needed) accounts for about 15% of fuel Losses due to drag 0.5% of fuel Steering losses due to the axis of the rocket no aligned with V |
| Earths rotation gives the launch extra delta V. How can this be calculated | Delta V= distance/time, the effect is greatest at the equator (low latitude) so most space launch sites are on or near the equator. |
| Principles of maneuvers | 1 - Burning prograde (forwards) increases a 2- Burning retrograde (backwards) decreases a 3 - Initial and final orbit intersects occur where impulse is applied. 4 - Need to get to right point at right time. 5- Separate maneuvers may be combined vectorially. 6- All done at peri/apo-apsis |
| Why is U defined as negative? | Because it is zero at infinity and so always negative. |
| Where must burns occur in order to change plane? | Burns take place where the planes intersect aka the nodes. |
| Why are plane changes avoided if possible? | A small change in inclination requires a large change in V (deltaV) |
| IF plane changes are carried out are they done at high or low altitudes? | High altitudes as the delta V required is slower due to slower orbital velocities. |
| What is the equation for delta V in a simple plane change? | Delta V=2Vsin(θ/2) Vi and Vf are equal as orbit speed doesn't change so both just V |
| Describe a Hohmann transfer | Can be used to increase or decrease altitude, LEO orbit, burn applied at periapsis in order to increase apoapsis. At apoapsis second burn is applied in order to circularize GTO orbit. |
| What is the connection between time of flight of Hohmann transfer nd period of orbit? | Time of flight is half of period. |
| Describe how to obtain the Overall delta V for a Hohmann transfer | Going from LEO to GEO: Calculate LEO orbit velocity, vc1. Then calculate GTO orbit velocity at periapsis v1=[GM(2/r-1/a)]^0.5 where a = (GEO orbit radius+LEO orbit radius)/2 DeltaV1=v1-vc1 Same method for GEO but need to reduce speed so DeltaV2=vc2-v2 DeltaV=DeltaV1+DeltaV2 |
| What else does a launch into GTO in the Hohmann transfer require? | A plane change, so changed at one of the nodes, and circularized at apogee. |
| What are the stages of the a rendezvous maneuver? | 1 Launch into an orbit with a similar plane 2 Match inclination at nodes 3 Move apoapsis of your orbit to target orbit 4 Change periapsis to match target orbit. You should now be in orbit but out of phase. 5 Use Hohmann to change phase 6 Last 50m done at very low velocities |
| How do we change the phase of the orbit? | Apply a retrograde burn in order to reduce the altitude of the orbit. This decreases the period and increases the velocity of the satellite allowing it to catch up with the phase. We then prograde burn in order to increase altitude again and decrease the spacecraft velocity. |
| Which scientist is credited with the collection of the data necessary to support the elliptical motion of planets? | Brahe |
| Define the term ‘apohelion’ | Furthest point in an orbit around the Sun |
| Explain why a solar day is longer than a sidereal day | |
| If the apogee of a satellite’s orbit is 68000km, what is the altitude of the satellite at this point? Assume the radius of the Earth=6378km. | Apogee = ra , radius of Earth=Re ra - Re= ha = 68000*10^3-6378*10^3 =60622*10^3m |
| A satellite in earth orbit has a semi-major axis of 6,700 km and an eccentricity of 0.01. Calculate the satellite's altitude ‘h’ at both perigee and apogee. | rp=a(1-e) rp=6700(1-0.01)=6633*10^3 hp=rp-re=255*10^3m ra=a(1+e) ra=6700(1+0.01)=6767 ha=ra-re=389*10^3 |
| ‘The ascending node can be defined as where an orbiting spacecraft crosses the semi-major axis going north.’ True or False? | False |
| ‘A sun-synchronous orbit is never a precessing orbit’. True or False? False | False |
| What is the angle between the equator and the ecliptic? | 23.5 |
| Does inclination change with increase in altitude? | No |
| How is RAAN measures? | From vernal equinox to the ascending node on the orbital plane. |
| Is argument of perigee measured clockwise or anti-clockwise? | Anti-clockwise |
| What is the approximate inclination of Molniya orbits? | roughly 65 degrees |
| If the Moon-Earth distance were to shrink, what would happen to the Moon’s Period? Increase/decrease/stay the same? | Decrease, think about K3 |
| In the Phoebe example, does it make sense that the resultant acceleration is along –r axis? | Yes because the force is attractive from Saturn as that is the planet it is orbiting |
| Where will a spacecraft go if it has exactly the escape velocity of the planet? | It will be in the same orbit around the sun as the planet, at 0km/s relative to it, but distant. It will need another boost to go anywhere. |
| Is a ‘barycentre’ exactly the same as the centre of mass? | Barycentre is the center of mass of two or more bodies, usually bodies orbiting around each other. |
| What assumption allows us to use 1 body central force model for the motion of Mercury wrt the Sun? | M>>m, so centre of massive body can be treated as fixed. |
| Why do we use polar coordinates for planetary motion? | Since the motion is planar and the force radial. |
| Use a simple equation to show which vectors determine the plane of an orbit. | L = r x mv |
| What does | The true anomaly. |
| Assuming argument of periapsis is 0, what is the value of true anomaly for the apogee point? | 180 degrees or π |
| If the argument of periapsis is 150, what value of | 0-150=-150 or 180-150=30 |
| Forasatellitewithsemimajoraxis7500000m,e=0.1, AOP=45 degrees, calculate the length of its position vector at the descending node. | r = a × (1 – e^2) / (1 + ecosθ ) r = 7,500,000 × (1 - 0.1^2) / (1 + 0.1×cos135) r = 8246415 m |
| An artificial Earth satellite is in an elliptical orbit which has a altitude of 250 km at perigee and an altitude of 500 km at apogee. Use the above result to find the perigee velocity. | |
| After launch, what is the first step for a supply ship to rendezvous with a space station? | Match inclination at the nodes. |
| Describe how a chaser supply ship catches up with a target space station which is trailing it? What is this manoeuvre called? | The chaser burns prograde to raise the orbit (increase the ‘a’) this will slow it down and then it can end up behind the target. Then it needs to burn retrograde to put its |
| Where do you do an inclination burn in an elliptical orbit? Why? | At apoapsis as this is where the spacecraft is going slowest, so it minimises the delta V used. |
Want to create your own Flashcards for free with GoConqr? Learn more.