null
US
Sign In
Sign Up for Free
Sign Up
We have detected that Javascript is not enabled in your browser. The dynamic nature of our site means that Javascript must be enabled to function properly. Please read our
terms and conditions
for more information.
Next up
Copy and Edit
You need to log in to complete this action!
Register for Free
40760446
flash 28/11
Description
Tecnologias Educacionais Pedt Tec 28/11 Flashcards on flash 28/11, created by Caio Julius Ribeiro on 28/11/2025.
No tags specified
pedt tec 28/11
tecnologias educacionais
Flashcards by
Caio Julius Ribeiro
, updated 7 days ago
More
Less
Created by
Caio Julius Ribeiro
7 days ago
0
0
0
Resource summary
Question
Answer
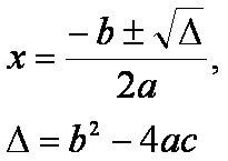
Delta
b^2 - 4ac
raízes
Image:
Untitled 6(91) (image/jpeg)
D . Pedro II
Show full summary
Hide full summary
Want to create your own
Flashcards
for
free
with GoConqr?
Learn more
.
Similar
Browse Library