Quantum Mechanics

Description

Masters Physics Flashcards on Quantum Mechanics, created by emmalmillar on 03/12/2015.
emmalmillar
Flashcards by emmalmillar, updated more than 1 year ago
emmalmillar
Created by emmalmillar almost 10 years ago
277
11

Resource summary

Question Answer
Quantum Mechanics Quantum Mechanics
What is the superposition principle? "The linear composition of simpler wavefunctions" If |a1> and |a2> are linearly independent states, then |u>=c1|a1>+c2|a2> is also a state of the system. The set of kets|ai> are said to be complete, if we can construct any state |u> from them.
What is linearity? An operator A is said to be linear if:
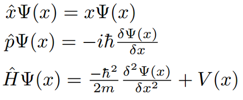
All Physical Observables have corresponding operators, which are:
What is the relationship between the Hamiltonian and the energy? The Hamiltonian is the operator corresponding to the total energy of the system.
Define Expectation This is used to relate a physical observable to the quantum calculation. The probability of finding a specific state in a mixed eigenstate. The modulus squared is the probability.
EigenFunction "What is measured". When an operator acts on the eigenfunction it gives us the eigenvalue and eigenfunction.
Eigenvalue "The result of the measurement, this is the only physical observable"
Eigenstate "The state at which the operator is exactly the eigenvalue with no uncertainty"
Eigenvector "An eigenfunction is an eigenvector which is also a function"
If the wavefunction is not an eigenfunciton of the operator what happens to the measurement? A measurement of the operator may give different eigenvalues with different probabilities each time.
When is an operator said to be Hermitian? Hermitian operators have real eigenvalues. When it obeys the relationship:
Describe Commutation When 2 operators commute, their observable are simultaneously and precisely observable.
Define the Identity Operator Not all operators have inverses, those that do are called nonsingular.
If A|u>=w> What transforms <u| to <w| This operator is called the adjoint of A, and if equal they are hermitian or self adjoined.
Rule One "The Linear Super Position Principle" Multiplying a vector by a complex number changes the magnitude but not the direction.
Rule Two "An isolated quantum state evolves continuously and casually in time"
Rule Three "Each observable of a system is associated with a Hermitian operator on a Hilbert space of the system. Eigenstates of each observable form a complete set".
Rule Four The result of any given measurement of an observable is an eigenvalue of the corresponding hermitian operator.
Rule Five The expectation of A is the average number of measurements of A.
Rule Six The Probability amplitude <u|a> and the probability is the modulus of this squared.
Rule Seven "The collapse reduction postulate" A wave function—initially in a superposition of several eigenstates—appears to reduce to a single eigenstate by "observation".
Which two rules are incompatible? Rule 2 and Rule 7
When are two observables said to be compatible? If the operators representing them have a common set of eigenfunctions. If one quantity is measured then the system will be left in an eigenfunction of that observable. A measurement of the other observable will leave the system in the same state.
What can be concluded about these two hermitian operators: [A,B]=iC C is also a hermitian operator. As A and B do not commute they will not have simultaneous eigenstates
Ehrenfest's Theorem The expectation value of any time independent operator is constant if the operator commutes with the Hamiltonian.
Show full summary Hide full summary

Similar

Quantum physics
hmccain
Waves
kate.siena
AQA Physics P1 Quiz
Bella Statham
GCSE AQA Physics - Unit 3
James Jolliffe
Using GoConqr to study science
Sarah Egan
GCSE AQA Physics 1 Energy & Efficiency
Lilac Potato
Forces and their effects
kate.siena
Junior Cert Physics formulas
Sarah Egan
Forces and motion
Catarina Borges
OCR Physics P4 Revision
Dan Allibone
P2 Radioactivity and Stars
dfreeman