Local Anaesthetics

Description

Degree Neuropharmacology Flashcards on Local Anaesthetics, created by Anna mph on 14/12/2015.
Anna mph
Flashcards by Anna mph, updated more than 1 year ago
Anna mph
Created by Anna mph almost 10 years ago
108
1

Resource summary

Question Answer
What is the mechanism for Local Anaesthetics? Block the conduction of action potentials in nerve axons
Which pathway carries pain and temperature information? Lateral spinothalamic tract
How is the strength of a pain signal encoded? Frequency of action potentials
What determines how easily a LA blocks the transmission of an AP? Diameter of the nerve fibre.
What type of information is carried in a: 1) Aa 2)Ab 3)Ad 4) C 1) Proprioception 2) Touch 3) Pain (mechanical and thermal) 4) Pain (mechanical, thermal and chemical)
Which of the four classes of nerve fibres isn't myelinated? C fibres
What is the order of size of nerve fibres? (LARGEST TO SMALLEST) 1) Aa 13-20uM 2) Ab 6-12uM 3)Ad 1-5uM 4)C 0.2-1.15uM
Which nerve fibres are most sensitive to block by LAs Ad and C fibres
Describe the 3 main parts of a LA 1) Aromatic group (lipophilic, hydrophobic) 2) Ester or Amide 3) Amino Group
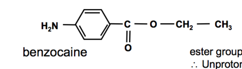
Describe the structure of an Ester
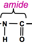
Describe the structure of an Amide
What determines the percentage of an LA which is ionised? 1) pH of solution 2) pKa of LA
What do pH and pKa equate to? pH = -log10[H+] pKa = -logtoKa (acid dissociation constant)
When does pKa = pH (or Ka = [H+]) when LA + H+ >>>>>> LAH+ <<<<<< Are both at 50%
What happens to the percentage of ionised LA as the pH decreases (becomes more acidic)? Percentage of ionised LA increases
HENDERSON-HASSLEBATCH EQUATION pKa - pH = log [LAH+]/[LA]
What happens to the acidity of an inflamed tissue? Acidity increases
What are the two pathways LAs can take to block sodium channels? Hydrophobic and Hyrdophilic
Which pathway is most prevalent? Hydrophilic
Describe the Hydrophobic (Lipophilic) pathway. Unionised LA molecules enter the membrane and interact with membrane proteins (sodium channels) preventing them from functioning.
Describe the Hydrophilic pathway Most hydrophobic (10-20%) molecules pass through the membrane and enter the cytoplasm. Majority become ionised (80-90%) because pH cytoplasm = 7.4. Block sodium channel at intracellular side.
Where do LAs bind in sodium channels? Bind at the S6 segment in domain IV of a subunit.
Which states do LAH+ have high affinity for? Open and inactive
Why don't LAs affect normal channel APs? LAs are use-dependent >> the more active the channel the more they bind (as in high frequency of pain APs)
What is the pKa of procaine? 8.98
Why is procain hardly used? 1) poor tissue penetration 2) short plasma half life 3) readily hydrolysed by non-specific esterases in plasma
What is the pKa of Lidocain (Lignocaine) pKa=8.0
What is the plasma half life of lidocaine? 2hr
How is lidocaine removed from the system? Metabolised by the liver
What is the time taken for onset? 5-10 minutes
What can be injected to prolong the effect of LAs? Give two examples of this Vasoconstrictors 1) Adrenaline 2) Felypressin
Why do vasoconstrictors prolong the action of LAs? Circulation terminates action of LAs. Constricting blood vessels keeps LA active at site for longer.
Give an example of two other LAs containing an ester group tetracaine (amethocaine) cocaine
Give an example of another two LAs containing an amide group Bupivacaine Prilocaine
What are the two Atypical LAs? (NUMBER 1)
NUMBER 2
Why is benzocaine an Atypical LA? No amine group >> always unprotonated Can only take hydrophobic pathway
Why is QX-314 an Atypical LA? Permanently 100% ionised. Has to be introduced into cytoplasm of cells experimentally (via pipette).
Which LAs are used as surface anaesthetics and in what form? Lidocaine-Spray (nose, mouth, upper RT) Lidocaine & Tetracaine - Solution (cornea of eye) Cocaine: solution/spray (ear/nose/throat) Lidocaine, tetracaine - gel/ointment (urethra/skin)
What is infiltration anaesthesia used for? (And which LAs?) Most LAs, injected into tissues to block conduction in fine nerve terminals for minor surgery. Never toes or fingers (ischaemic damage)
What is intravenous regional anaesthesia used for? And which LAs are used? Limb surgery - lidocaine or prilocaine Injected distal to pressure cuff.
What is nerve-block anaesthesia used for? Where is it injected? Dentistry, surgery and analgesia. Injected close to nerve trunk
Where is a spinal anaesthesia injected? What is it used for and which LAs are used? Injected into subarachnoid space between 2 & 5 lumbar vertebrae (inhibit nerves innervating lower body) Used for surgery on abdomen, pelvis or leg Lidocaine or bupivicaine.
Where is an epidural injected? What is it used for? Which LAs are injected? Epidural space of spinal cord. Childbirth. lidocaine, bupivacaine and ropivacaine.
How would you treat neuropathic pain? With I.V lidocaine
What are the 3 Adverse effects of LAs? *NUMBER 1 High plasma conc (accidental injection into artery or vein) CNS: Stimulation>>confusion>convulsions> respiratory depression CVS: DECREASE blood pressure due to: i) decrease heart contractility ii)Vasodilatio
*NUMBER 2 Hypersensitivity (allergic reaction)
*NUMBER 3 Methaemoglobinaemia - due to toxic metabolite produced from prilocaine
What are the other clinical uses of LAs? Treatment of ventricular dysrhythmias Potentially treatment of epilepsy
Show full summary Hide full summary

Similar

Monoamine pharmacology -Antidepressant drugs - Dr. Emma Robinson
Anna mph
General Anaesthetics Part 1 - Steve Fitzjohn
Anna mph
General Anaesthetics Part 2 - Steve Fitzjohn
Anna mph
Cognition and Dementia - Alzheimer's disease.
Anna mph
Drug molecules - properties and actions & functional groups
Alyssa B
module 5 pharmacology chapter 9
Alannah Mendoza
Drug Abuse and Drug Addiction - L1
Anna mph
Exam 1 Medications
tera_alise
Module 6 Chapters 12/14
Alannah Mendoza
Opioid Analgesia - Steve Fitzjohn
Anna mph
Design of competitive NMDAR Agonists
Anna mph