Equations and Experiments in ENGPHYS 2QM3 (1)

Description

boopboop
megangoodland
Flashcards by megangoodland, updated more than 1 year ago
megangoodland
Created by megangoodland over 9 years ago
287
0

Resource summary

Question Answer
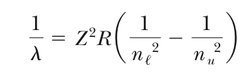
Rydberg Equation: a formula to describe the wavelength of the EM wavelengths of spectral lines of elements. n is where the e- is falling down to, and k is the start point.
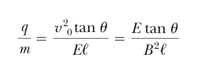
Charge to mass ratio of an electron found using Thomson's cathode ray tube experiment. Net force on the electron is zero. v0=E/B and tan(theta)=vy/vx.
Equation expressing diffraction maxima. d is the distance between rulings, n is an integer.
Blackbody radiation. The maximum of the intensity distribution shifts towards smaller wavelengths as the temperature is increased.
Stefan-Boltzmann Law: Total power radiated (blackbody radiation) increases dramatically with temperature. Sigma is a constant and E thing is the emissivity: the ratio of emissive power to that of an object that is an ideal blackbody (E thing=1).
Rayleigh-Jeans formula: the best formulation that classical theory can provide to describe blackbody radiation. It deviates badly at short wavelengths.
Plank's Radiation Law: Planck assumed that EM radiation was emitted and absorbed by "oscillators" in the cavity walls. He had to make two modifications to classical theory to make this work: 1. Oscillators (of EM origin) can only have discrete energies (En=nhf) 2. Oscillators can absorb or emit energy in discrete multiples of the fundamental quantum of energy given be delta E = hf
According to Einstein, each photon had an energy quantum of E=hf.
Photoelectric effect: the KE of electrons does not depend on light intensity at all, but only on light frequency and the work function of the material.
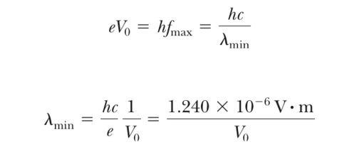
The Duane-Hunt Rule/Limit: In the unlikely case of the inverse photoelectric effect (when an electron gives up all of it's KE to create one photon), conservation of energy requires that the electron KE is equal to the maximum photon energy (we neglect the work function because it is small compared to eV(0)). The minimum wavelength depends only on the accelerating voltage and is the same for all targets. Bremsstrahlung radiation (X Rays) is emitted when charged particles (ex. e-) pass through matter and are accelerated by the nuclear field. These x rays have a minimum wavelength (as described in the bottom equation) where electrons accelerated by a voltage V(0) impinge on a target.
The Compton Effect: when a photon enters matter, it's likely to interact with one of the atomic electrons. This is the result of the increase in wavelength of the scattered photon.
This is the expression for the energy required for pair production. The energy of the photon has to be at least equal to the resting mass energy of an electron and a positron.
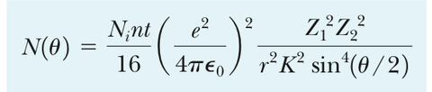
Rutherford or Coulomb scattering occurs when the scattering of charged particles takes place at low energies (where only the coulomb force is important). A charged particle of mass m, charge Z1e, and speed v(0) is incident on the target material or scatterer of charge Z2e. b is the Impact Parameter: the closest distance of approach between the beam particle and scatterer.
Rutherford Scattering Equation: The number of particles scattered per unit area. Ni = number of incident alpha particles n = atoms per unit volume in target t = thickness of target r = target-to-detector distance
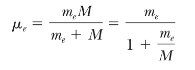
The Bohr Model had to be corrected to show that the nucleus and electron are a two-body system revolving around their centre of mass. This two-body system can be reduced to an equal one-body system using reduced mass to replace m of the e-.
Bragg's Law: the difference in path lengths has to be equal to an integral number of wavelengths. These are X Rays scattering from Bragg lattice planes.
De Broglie suggested that particles should have wave properties similar to EM radiation. The wavelength of a matter wave is called a De Broglie Wavelength.
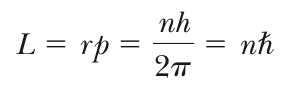
One of Bohr's assumptions was that angular momentum of the electron-nucleus system is an integral multiple of h/2*pi. We can arrive at Bohr's assumption (the equation seen) by applying De Broglie's wavelength for an electron in a standing wave:
This equation refers to Electron Scattering, which proved De Broglie's wavelength hypothesis. It was observed that electrons were diffracted much like X Rays in nickel crystals (Davisson-Gerber experiment). Bragg's Law refers to lattice plane spacing d and 2*theta is the angle between incident and exit beams. Here, D = interatomic spacing, and phi = 2*alpha.
Defining wave number and angular frequency.
A normal wave equation. Wave is moving in the +x direction, phase shifted in the -x direction by amount phi.
Show full summary Hide full summary

Similar

surahthul fatheha .al falaq, al naas
hajraofficial144
KSA Civic engagement
Hanan Abdullah S
Englishman
Vijay V
Unit 2
Leon Tomić
Unit 1
Leon Tomić
Lexical change
libbystraw1