chemistry A2 OCR flashcards

Description

Flashcards on chemistry A2 OCR flashcards, created by David Alty on 25/03/2016.
David Alty
Flashcards by David Alty, updated more than 1 year ago
David Alty
Created by David Alty over 9 years ago
30
4

Resource summary

Question Answer
Benzene classified as carcinogen, colourless liquid with a sweet odour. highly flammable it can form naturally in volcanoes and forest fires.
kekule and problems -didn't explain low reactivity -all lengths are the same not different (c-c long c=c short) -enthalpy change of less than expected
real structure of benzene
nitration of benzene
halogenation of benzene
phenol + sodium
phenol + bromine
phenol structure
uses of benzene detergents, explosives, pharmaceuticals and dyestuffs
uses of phenols alkyl-phenols: surfactants and detergents chloro-phenols: antiseptics and disinfectants salicylic acid: aspirin and pharmaceuticals bisphenol: production of epoxy resins for paint
oxidation agent for alcohol-> aldehyde-> carboxylic acid potassium dichromate(VI) (orange -> green)
reduction of aldehydes +mech NaBH4 (sodium borohydride)
2,4-DNP 2,4-DNP (2,4-dinitrophenylhydrazine) + methanol + H2SO4 (Brady's reagent) +aldehyde or ketone = yellow/orange preciptate. impure product is filtered, recrystallised to produce pure. dried and melted to find the carbonyl compound
aldehyde or ketone tollen's reagent (weak oxidising) created: NaOH(aq) + AgNO2(aq)-> AgO (brown precipitate) dilute NH4 until precipitate is gone. creates a silver mirror in the presence of a aldehyde.
esterification classic
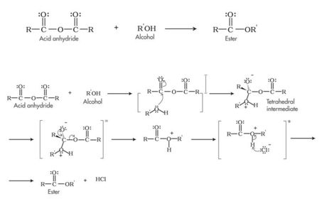
acid anhydride
ester uses cosmetics and flavourings
naming convention of fats and triglycerides Octadec-9,12-dienoic acid -> 18:2 (9,12) three carboxyls + glycerol = 3 ester bonds
HDL + LDL High density lipoproteins: Good, cholesterol out Low density lipoproteins: bad, chelosterol into blood deposit on artery
amines + naming Amines: smell bad two ethyls= N,N
aliphatic amine = (warm) halogenoalkane + (excess)NH4
aromatic amine
Diazotisation NaNO2+HCl->HNO2+NaCl (<10c)
Coupling +NaOH Brightly coloured compound used as dye
Amino acids neutral=zwitterion
acid hydrolysis and aklali hydrolysis of amino acids acid: reflux 6moldm-3 HCl for 24hrs alkali: NaOH + 100oC
biodegradable plastics -Poly(lactic acid), poly(glycolic acid) -photo degradable
Organic synthesis of aliphatic compounds
important aromatic reactions
problems chirality -less pharmacologically active ingredient -potentially toxic -dosage confusion -case study: thalidomide baby deformities, seldane antihistamine isomer heart attacks
solutions to chirality -enzymes -using correct chiral ingredients -transition element complexes
thin-layer chromatography + limitations stationary=silica gel(SiO2), alumina(Al2O3) mobile=liquid solvent solid stationary phase (adsorption), Mobile phase -similar compounds similar Rf -unknown compound=unknown Rf -tricky to separate properly
calculate Rf Rf=distance compound moved /distance solvent moved
GC chromatography + limitations to separate volatile compounds solid/liquid stationary coating tube retention time -same retention time -not all separated/detected -unknown have no reference
initial rate of reaction
orders + rates zero=x[A]^0 first=x[A]^1 second=x[A]^2 rate=k[A][B] rate determined by the slow
Kc= + what effects =products/reactants -temperature shifts, conc + press=no effect
def of acid + base Bronsted-Lowry acid=substance that proton can be removed from Bronsted-Lowry base=substance that proton accept a proton
mono-, di and tri acids 1proton, 2protons, 3protons
acid w/ metals salt + hydrogen tip= avoid H2SO4 + HNO3 when giving examples as they are stong oxidising agents
Ka= =[H+][A-]/[HA] [A-]=[H+] in weak acids [H+]=¬|Ka[HA] pKa=-log(10)Ka <> Ka=10^-pKa
Kw= =[H+]x[OH-] or =Kc x [H2O]
buffers nough said
titration and indicators equivalence point= centre of vertical bit end point= equal conc of acid and base OF INDICATOR choose indicator that has an endpoint as close to the equivalence point as possible
enthalpy change of nuetralisation 1. Q=m.c./\T (joules) 2. amount of mol reacted 3.scale molar quantities to match 4. formation of one mole from neut
/\Hf= everything else
compare NaI to AlCl3 AlCl3 more exothermic as Al is +3 so much smaller and 3 times Cl has less shells
/\G= +feasibility /\H-T/\S
how to make a cell between zinc and copper salt bridge made out of filter paper + KNO3 or NH4NO3 (unreactive)
hydrogen half cell
feasibility of cells (choosing which way round) always subtract the lowest one
cells (batteries) 1. non-recharge= once 2. recharge= chemicals can be reversed (nickel and cadmium or lithium ion)
advantages of fuel cells storage of hydrogen limitations obvs co2 + more efficient stored: pressure, on solid, in solid -transport + large storage -toxic chemicals in production -fuel cells have limited lifespan
transition element + anomolys a d-block element that forms an ion with an incomplete d sub-shell -chromium and copper
transition oxidaion colours
transition precipitation Co starts pink, Fe2+ starts green, Fe3+ starts yellow, Cu starts blue
ligand substitution reactions of copper with NH3 [Cu(H2O)6]2+ (pale blue) ->Cu(OH)2 (pale blue precip) ->[Cu(NH3)4(H2O)2]2+ (deep blue)
ligand substitution reactions of copper with Cl [Cu(H2O)6]2+ (pale blue) ->[CuCl4]2- (yellow) (green colour when only halve has reacted)
ligand substitution reactions of cobalt with Cl [Co(H2O)6]2+ (pink solution) ->[CoCl4]2- (blue solution)
Kstab= products/reactants (forget water)
MnO4- + Fe2+ MnO4- +8H+ +5Fe2+->Mn2+ +5Fe3+ +4H2O (MnO4-=purple -> Mn2+=near colourless)
CuI white precip
Show full summary Hide full summary

Similar

A2 Organic Chemistry - Reactions
yannycollins
AS Chemistry - Enthalpy Changes
Sarah H-V
OCR Chemistry - Atoms, Bonds and Groups (Definitions)
GwynsM
Ecosystems
Jessica Phillips
Carboxylic Acids
Kassie Radford
OCR Chemistry Definitions 2.1
09valentinerhi
OCR Chemistry Definitions 1.1
09valentinerhi
C1 Quiz
Leah Firmstone
Chemistry Module C2: Material Choices
James McConnell
Chemistry Module C1: Air Quality
James McConnell
Rates of Reaction
Evie Papanicola