Risk Analysis

Description

Loughborough uni aae part a risk analysis
Ben  Jenner
Flashcards by Ben Jenner, updated more than 1 year ago
Ben  Jenner
Created by Ben Jenner over 9 years ago
13
0

Resource summary

Question Answer
Define Failure Deviation from normal design intent or operating standard
Define Hazard A situation with the potential to cause death, injury, damage, losses or liabilities
Define Accident An unplanned, uncontrolled event giving rise to death, injury, ill health, damage or loss.
Define Consequences An outcome resulting from an accident.
Define Severities A measure of the consequence
=================================== HAZOP =================================== =================================== HAZOP ===================================
Define Hazard Analsysis The identification of events which lead to a hazard and an analysis of way in which these event could occur and how likely harmful effects are
What does HAZOP stand for? Hazard and operability studies
What actually is Hazop? The application of a formal, systematic, critical examination of the intentions of new facilities to assess the hazard potential of mal-operation of pieces of equipment and the consequential effects on the facility as a whole.
Aims of Hazop Aims to stimulate the imagination of designers and operators in a systematic manner so that they can identify the causes of potential hazards in the design.
Who carries out a HAZOP? A team of experts
Define Intention (Re. an item in hazop) How the part is expected to function
Define deviations (Re. an item in hazop) deviations from the design intention which are discovered by systematic application of the guide words.
Define causes (Re. an item in hazop) reasons why deviations might occur. Causes can be classified as realistic or unrealistic.
What can we do with unrealistic causes reject them
Define Consequences (Re. an item in hazop) the results of the deviations.
What are the collums of a HAZOP table left to right
meaning of guidewords? NO/NOT MORE THAN/ LESS THAN AS WELL AS PART OF REVERSE OTHER THAN Parameter is zero increase of decrease in a parameter qualitative increase qualitative decrease opposite subsitution
Give some standard process parameters the guide words may describe • Pressure • Temperature • Flow
Give some examples of HAZOP application areas • chemical • oil and gas • pharmaceutical • food processing • UAVS • fork lift truck activities • nuclear
HAZOP limitations - Cannot detect every weakness (e.g. layout problems) - Cannot make up for lack of knowledge - Assumes system constructed and operated as designed.
=================================== FMEA =================================== =================================== FMEA ===================================
What does FMEA stand for? Failure mode and effects analysis
What does FMECA stand for? Failure Mode, Effects and Criticality Analysis
What does FMECA include that FMEA doesn't classification of each potential failure effect according to its severity
State and describe the 2 types of FMEA • Product - Analysis of product and how failures effect product operation • Process - Analysis of product manufacturing, maintenance and usage and effect on product operation
State and describe the 2 FMEA Approaches • Functional - sub assemblies considered e.g. A valve control system • Hardware - each component considered e.g. Sensor, controller, valve.
What are the first 6 stages of FMEA? 1. Define the system 2. Construct block diagrams 3. Record all assumptions made 4. Define failure modes of system 5. Define failure modes of components 6. Complete FMEA worksheets.
FMEA Stage 1. What must the definition of the system include. • What the system comprises • Boundaries and interfaces • Function in all operation modes • Environment profile • System phases • System mission and objectives
FMEA Stage 2. Hierarchical diagrams
FMEA Standard table
What are the last 2 stages of FMEA? 7. Review worksheets to determine reliability critical components 8. Make recommendations for design improvements and further work
What are the 4 severity classifications in FMECA 1. Minor 2. Marginal 3. Critical 4. Catastrophic
What is the equations for criticality Criticality = Frequency x Severity
What table heading must we ad to our FMEA table for FMECA? Severity class and frequency
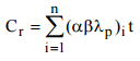
What is the equation for the critically number of a failure mode Lambda 0 - failure mode rate t - mission or phase time
What is the equation for failure mode rate? a - portion of failure in specified mode b - probabilities that effect will result lambda p - part failure rate
What does RPN stand for? Risk priority number
What is the RPN equation? RPN=occurrence x severity x detection when all are measure out of 10
What is the equation for the criticality number of a part? n - number of failure modes
FMEA Features (pro and cons) + it is rigorous and systematic. - time consuming and expensive. - It does not consider the effects of multiple failures.
=================================== Fault Tree Analysis =================================== =================================== Fault Tree Analysis ===================================
Name these gates OR - 1 or more AND - all inputs k out of n (voting) - at least k of n Exclusive OR - one but not both
Name these gates Inhibit - requires event and condition Priority AND - order left to right Not - Output if input event does not
Name these events Intermediate - Event description Basic - Event for which data is available Undeveloped - system event 2 b developed conditional - condition of inhibit gate House - definitely occurring or not. e.g. maintence
Define cut set A list of failure events such that if they occur then so does the top event.
Define minimal cut set A cut set such that if any component failure event is removed the combination will no longer cause system failure
What is the distributive law of cut sets (A + B) . (C + D) = A.C + A.D + B.C + B.D
What is the idempotent law of minimal cut sets A + A = A (Removes repeated cut sets) A . A = A (Removes repeated event)
what is the absorption law of minimal cut sets A + A . B = A (Removes redundant combinations)
What is order culling? (RE. minimal cut sets) Produce cut sets or order k or less
What is probability culling? (RE. minimal cut sets) Produce only cuts sets with probability of occurrence greater or equal to a specified value
What is frequency culling? (RE. minimal cut sets) Produce only cuts with frequency of occurrence greater or equal to a specified value
How do you change a fault tree to a dual tree? Switch AND gates to OR gates OR gates to AND gates Basic events to Complemented events
What is the dual tree equivalent of a minimal cut set? A minimal path set which is a smallest number of things that need to be true for system to work
The downtime of a system or component depends on? • Time taken to detect the failure • Time taken to repair the failure inc. - Diagnosis - Obtaining new parts - Intalling new parts • Time taken to test to check it works
Define reliability Reliability, R(t), is the probability that the component/system works continuously over that time interval, t.
How do you determine unreliability, F(t)? Unreliability = 1 - Reliability F(t) = 1 - R(t)
What are the 3 definitions of availability, A(t)? 1) Probability that a component/system works on demand. 2) Probability that a component/system is working at time t. 3) Fraction of the total time that a system/ component can perform its required function.
How do you determine unavailability, Q(t) Unavailability = 1 - Availability Q(t) = 1 - A(t)
for what type of components does: Availability = Reliability A(t) = R(t) non-repairable components
What is the failure density function, f(t)? f(t) = dF(t)/dt
What is the equation of the conditional failure rate (hazard rate), h(t) h(t) = f(t) / (1 - F(t)) h(t) = f(t) / (R(t))
Show full summary Hide full summary

Similar

Risk Analysis & HACCP
Florence Edwards
Chapter 6
csv_christina
Break-even Analysis - FLASH CARDS
Harshad Karia
Macbeth Key Quotes
Draco Malfoy
Gatsby notes on symbolism and themes
Maria-Rodriguez
Hamlet - Character Analysis
Jess Watts
The Great Gatsby- full book analysis
Georgia Robinson
Gatsby quotes
Roza Stevenson
Stats flashcards
Rachael Jones
Chapter 3 : Use Cases
Jo Hart
Some Old Photographs
Max Lee