null
US
Sign In
Sign Up for Free
Sign Up
We have detected that Javascript is not enabled in your browser. The dynamic nature of our site means that Javascript must be enabled to function properly. Please read our
terms and conditions
for more information.
Next up
Copy and Edit
You need to log in to complete this action!
Register for Free
5348487
Pola figur płaskich
Description
Matematyka, klasa 6
No tags specified
matematyka
pola
geometria
Flashcards by
iwonatrojanowska0117
, updated more than 1 year ago
More
Less
Created by
iwonatrojanowska0117
over 9 years ago
26
0
0
Resource summary
Question
Answer
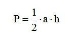
P =
Image:
599ad10e-5bf4-4674-8bd4-597255fb07d0 (image/jpg)
Image:
6ba98576-eda1-4cdc-b77a-64ce5c4acbf9 (image/jpg)
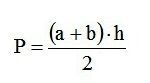
P =
Image:
e58c7fc6-3ba3-4984-83e0-a18137810f93 (image/jpg)
Image:
fa309b22-a826-42aa-ba26-58696675551f (image/jpg)
P =
Image:
17c8ff5b-edcd-4f8c-97b8-0666b6093db1 (image/jpg)
Image:
96aece1a-5bdf-4942-b01f-8af5bbbf3490 (image/jpg)
P=
Image:
43fd571a-1570-4cc1-8913-cf1e80893a8d (image/jpg)
Image:
6903fca4-a6b4-4da1-8baf-c31087607fba (image/jpg)
P =
Image:
5453d341-ec42-4d9e-9acb-6d85b07d38b4 (image/jpg)
Image:
1bda8ffa-f48f-4649-a95c-e427bec3e796 (image/jpg)
P =
Image:
19785dae-f3a3-4efc-98ac-fd46ceb80267 (image/jpg)
Image:
b38b18f6-edb3-4398-8b52-d906be731fa9 (image/jpg)
Show full summary
Hide full summary
Want to create your own
Flashcards
for
free
with GoConqr?
Learn more
.
Similar
Miary kątów w tójkątach
Aneta K.
Figury płaskie
hbasaj
Figury geometryczne w architekturze
Jakub Dakowski
Trygonometria
Agnieszka Sz
Pola i objętości figur w 2D oraz 3D
Agnieszka Bicz
Dodawanie i odejmowanie w zakr. 20
Jolanta MW
Trójkąty
Magdalena W
GLI ANGOLI
c.croceicscondov
Algebra
Jolanta Wałachow
RIPASSIAMO GLI ANGOLI E I POLIGONI
Giorgia Boarino
DODAWANIE
Anna Jadczak
Browse Library