Prodrug/Sulphanomides

Description

Flashcards on Prodrug/Sulphanomides, created by Valentina Valenz on 17/05/2016.
Valentina Valenz
Flashcards by Valentina Valenz, updated more than 1 year ago
Valentina Valenz
Created by Valentina Valenz over 9 years ago
13
0

Resource summary

Question Answer
EXAMPLES Aspirin (prodrug) --> salicylic acid (active agent) Phenacetin (prodrug) --> paracetamol (active agent)
TRANSPORT CHARACTERISTICS prodrugs can interfere with transport (EXAMPLE: putting hydrophilic group may restrict gut to one specific area)
PHARMACEUTICAL PROBLEMS - poor water solubility - aesthetic properties such as taste or tissue irritation - formulation problems
PHARMOKINETIC PROBLEMS - incomplete absorption of the drug across biological barriers - too rapid absorption or excretion - poor site specificty
PHARMACEUTICAL SOLUTION 1 improve flavour of drug by decreasing water solubility so drug does not dissolve on the tongue (CHLORAMPHENICOL = OH --> alkyl chain)
PHARMACEUTICAL SOLUTION 2 reduce pain by improving water solubility. injections hurt, however when made more soluble they hurt less (CLINDAMYCIN phosphate ester addition)
PHARMACEUTICAL SOLUTION 3 mask drug toxicity side effects (SALICYLIC ACID causes gastric bleeding, ASPRIN doesn't OH --> ester)
SULPHANOMIDE AS A PRODRUG - antibacterial agents, active drug of PRONTOSIL (prodrug) - have a versatile synthesis with many derivates - competes with PABA, PABA is the enzyme active in DHF synthesis
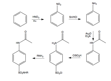
GENERAL SYNTHESIS
SIMILARITIES WITH PABA 1º aryl amine Para substituents Similar charges Polar substituents Van der Waals b/c aromatic H-bonding Ionic factors in substituents Similar lengths (6.9 v. 6.7 Å) Similar widths (2.4 v. 2.3 Å)
ROLE OF DIHYDROFOLATE REDUCTASE DHF --> THF
BIOSYNTHESIS OF FOLATES - DHF plays ket role in synthesis of DNA bases - DHF introduces a methyl group into thymine - synthesis of DHF, THF, 10-fromylTHF -DHF not synthesised in HUMAN bodies -DHF pathway interrupted by Trimethoprim
INHIBITION OF DHF PATHWAY 1 - Trimethoprim and a sulphadrug are combined to hit bacteria - high selectivity to DHF - sulphadrug -> inhibits PABA insertion - Trimethoprim inhibits (DHFR) - effective for bronchial adn urinary tract infections
INHIBITION OF DHF PATHWAY 2 - methotrexate is another inhibitor of DHF - low selectivity for bacteria but block DHFR - used in acute childhood leukemia, does not differentiate between normal and malignant cells - v. toxic with serious side effects
Show full summary Hide full summary

Similar

4. The Skeletal System - bones of the skull
t.whittingham
Medicinal Chemistry Terms
Conrad Lewis
Definitions
Valentina Valenz
Drug classification and targets
sophietevans
Drugs and types of bonding (what happens at the target binding site)
sophietevans
Medicinal Chemistry: Alpha and Beta Adrenergic Agonists/Antagonists
Elise Breedlove
Pharmacology: Exam 1
Beata Izmailov
1_Definitions
Valentina Valenz
Targeting DNA with Anti-Tumour Drugs
Valentina Valenz
Outline Chapter 2
Shannon Grady
Outline Chapter 1
Shannon Grady