GCSE Maths Symbols, Equations & Formulae

Description

This Flashcard deck shows you the formulae needed for your GCSE Maths exam. This includes Algebra equations and Geometry formulae.
Andrea Leyden
Flashcards by Andrea Leyden, updated more than 1 year ago
Andrea Leyden
Created by Andrea Leyden over 11 years ago
18049
414

Resource summary

Question Answer
\[\pi\] 3.141592
Circumference of a Circle C = 2\(\pi\)r
Perimeter of a Semi-circle \(\pi\) x r + 2 x r
Perimeter of a Quarter Circle \(\frac{1}{2}\) x \(\pi\) x r + 2 x r
Area of a Circle \(\pi\)\(r^2\)
Area of a Semi-circle \(\frac{1}{2}\) x \(\pi\) x \(r^2\)
Area of a Quarter Circle \(\frac{1}{4}\)\(\pi\)\(r^2\)
Area of a Rectangle base x height
Area of a Triangle \(\frac{1}{2}\) x base x height
Area of a Parallelogram base x height
Area of a Trapezium \(\frac{1}{2}\)(a + b)h
Area of a Sphere 4\(\pi\)\(r^2\)
\[a^2\] a x a
\[b^3\] b x b x b
\[c^4\] c x c x c x c
\[4d^2\] 4 x d x d
\[2e^3\] 2 x e x e x e
\[4y^2 - y\] when y = 3, y = ? (4 x y x y) - y = (4 x 3 x 3) - 3 = 33
Equation of a Straight Line y = mx + c
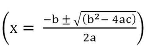
Quadratic Equations
Show full summary Hide full summary

Similar

GCSE Maths: Understanding Pythagoras' Theorem
Micheal Heffernan
GCSE Maths: Geometry & Measures
Andrea Leyden
Geometry Formulas
Selam H
Geometry Theorems
PatrickNoonan
Junior Cert Physics formulas
Sarah Egan
Statistics Key Words
Culan O'Meara
maths notes
grace tassell
Algebraic & Geometric Proofs
Selam H
Similar Triangles
Ellen Billingham
Perimeter Check-up
whitbyd
Geometry Quality Core
Niat Habtemariam