|
|
Created by lakelife62
over 11 years ago
|
|
| Question | Answer |
| Multiple Choice Calculator Required | Multiple Choice Calculator Required |
|
Image:
76 (image/png)
|
c |
|
Image:
77 (image/png)
|
c |
|
Image:
78 (image/png)
|
C |
|
Image:
79 (image/png)
|
D |
|
Image:
80 (image/png)
|
B |
|
Image:
81 (image/png)
|
D |
|
Image:
82 (image/png)
|
A |
|
Image:
83 (image/png)
|
A |
|
Image:
84 (image/png)
|
A |
|
Image:
85 (image/png)
|
A |
|
Image:
86 (image/png)
|
B |
|
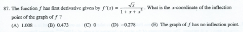
Image:
87 (image/png)
|
B |
|
Image:
88 (image/png)
|
C |
|
Image:
89 (image/png)
|
D |
|
Image:
90 (image/png)
|
B |
|
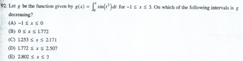
Image:
91 (image/png)
|
E |
|
Image:
92 (image/png)
|
D |
Want to create your own Flashcards for free with GoConqr? Learn more.