Símbolos Matemáticos, Equações & Fórmulas

Description

Baralho de Flashcards com Fórmulas necessárias para os Exames Nacionais de Matemática.
miminoma
Flashcards by miminoma, updated more than 1 year ago More Less
Andrea Leyden
Created by Andrea Leyden over 11 years ago
miminoma
Copied by miminoma over 11 years ago
miminoma
Copied by miminoma over 11 years ago
miminoma
Copied by miminoma over 11 years ago
2606
12

Resource summary

Question Answer
\[\pi\] 3.141592
Circunferência de um Círculo C = 2\(\pi\)r
Perímetro - Semicírculo \(\pi\) x r + 2 x r
Perímetro - Quarto de um Círculo \(\frac{1}{2}\) x \(\pi\) x r + 2 x r
Área de um Círculo \(\pi\)\(r^2\)
Área de um Semicírculo \(\frac{1}{2}\) x \(\pi\) x \(r^2\)
Área - Quarto de um Círculo \(\frac{1}{4}\)\(\pi\)\(r^2\)
Área de um Retângulo base x height
Área de um Triângulo \(\frac{1}{2}\) x base x height
Área de um Paralelogramo base x height
Área de um Trapézio \(\frac{1}{2}\)(a + b)h
Área de uma Esfera 4\(\pi\)\(r^2\)
\[a^2\] a x a
\[b^3\] b x b x b
\[c^4\] c x c x c x c
\[4d^2\] 4 x d x d
\[2e^3\] 2 x e x e x e
\[4y^2 - y\] when y = 3, y = ? (4 x y x y) - y = (4 x 3 x 3) - 3 = 33
Equação de uma Linha Reta y = mx + c
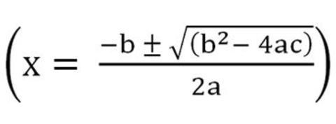
Equações Quadráticas
Show full summary Hide full summary

Similar

Tipos de Composição
miminoma
Prova Final de Matemática 9º Ano
miminoma
Plano de Revisão Geral
miminoma
Resumo global da matéria de Biologia e Geologia (10.º e 11.º anos)
miminoma
MODE, MEDIAN, MEAN, AND RANGE
Elliot O'Leary
New Possibilities with ExamTime's Flashcard Maker
Andrea Leyden
Making the Most of GoConqr Flashcards
Sarah Egan
General questions on photosynthesis
Fatima K
CITAÇÕES DE GRANDES FILÓSOFOS
miminoma
Flashcards for CPXP exam
Lydia Elliott, Ed.D
GoConqr Getting Started Guide
Norman McBrien