Project Management Quiz 2

Description

Questions and answer for quiz 2
David McClelland
Flashcards by David McClelland, updated more than 1 year ago
David McClelland
Created by David McClelland about 9 years ago
1301
1

Resource summary

Question Answer
What does a project delivery system represent? a. The contractual relationships between project participants b. The deliverables required by the client c. The terms of payment d. The relationships between work packages a. The contractual relationships between project participants
In the "Design-Build" project delivery system, the owner enters into a contract with a single entity to provide the design and to construct the project according to that design. True or false? True
In which type of project delivery system does the contractor bear most of the risk? a. Owner Provided Delivery b. Design-Bid-Build c. Design-Build d. None of the above c. Design-Build he answer is c). This is because the contractor is responsible for both the design and build stages of the project
Which is NOT correct about the Turnkey project delivery system? a. A turnkey project can also be referred to as a concession project b. It permits the project consortium to include the operation and/or maintenance of the complete project c. It is a variation of the Design-Bid-Build project delivery system d. A turnkey project may take the form a BOOT project
In a "Lump Sum" contract, the owner/client bears most of the risks. True or false? False
In a "Cost reimbursable" contract, the owner/client bears most of the risks. True or false? True
The Precedence Diagram Method (PDM) uses the "Activity-On-Arrow" approach as the basis for network drawing. True or false? False
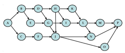
Which of the following statements is correct about the network diagram below? a. This network diagram requires a dummy activity b. Activity P has three immediate predecessors: M, N and O c. Activity A is an immediate predecessor of activities B and C d. This is an Activity-On-Arrow diagram because the network is linked by a series of arrows
Consider the precedence diagram below. What will happen if activity E is delayed by 1 day? a. Activity E will become critical b. Activity F will be delayed by 1 day c. The entire project will be delayed by 1 day d. Nothing will happen b. Activity F will be delayed by 1 day
What is an aim of resource leveling? a. To minimise resources used in the project b. To adjust the resource loading such that the resource is used efficiently throughout the project c. To adjust the pattern of resource loading so that it fits the S-shape curve d. To adjust the resource loading such that the project completion date can be reduced
In resource levelling, we first move critical activities to shift their resource usage, then followed by non-critical activities. True or false? False
How would you improve the resource utilisation of the resource histogram below? a. Move activity D by 3 days b. There is not enough information - the precedence diagram of this project is required c. There is not enough information - the resource utilization data of this project is required d. Move activity I by 3 days d. There is not enough information to comment on the resource utilisation of this project There is not enough information. A single value of static moment doesn't tell you anything. It needs to be compared with other values to be meaningful
The failure of a project team to consider changing market demand can be considered as an external risk. True or false? False The answer is False. It's the failure of the project team to do a proper job, so this is internal risk.
"A project team identifies risks based on the information from previous similar project" The above statement best explains which of the following risk identification techniques? a. Process flowcharts b. Analogy c. Cause and effect diagram d. WBS analysis b. Analogy
Risk assessment should be "quantitative". True or false? False Response Feedback: The answer is False. It can be either qualitative or quantitative.
If a project manager wants to reduce some risks in the project, the project manage should implement which of the following strategies? a. Change the contractor b. Change the owner c. Hire a specialist to perform additional analysis d. Develop a contingency plan c. Hire a specialist to perform additional analysis
Key Performance Indicators (KPI) represent measurable indicators that can be used to reflect the Critical Success Factors (CSF) of a project. True or false? True
Which of the following statements is correct about the S-curve below? a. The project is ahead of schedule b. The Cost Variance is negative c. The Cost Variance is positive d. None of the above d. None of the above
Earned Value Analysis (EVA) is the same as Value Management technique. True or false? False
When Planned Value is less than Earned Value, the Schedule Variance is? a. Negative b. Positive c. Either positive or negative d. Zero b. Positive
Show full summary Hide full summary

Similar

Termination of the Construction Contract
micbell2000
Expertise in Project Management
tonesha_g
PMP® Pre-Test by Coursefountain.com
Team Coursefountain
Ch1 - The nature of IT Projects
mauricio5509
Introduction notes on SCRUM Project management framework.
Wesley Thomson
Project Management: Week 1
Sharon Ott
ART AND ARCHITECTURE OF INDIA Images
Alice Gorodetsky
Summary of Definitions/Key Terms for the PMP Exam
Andrea Leyden
PMP Prep quiz
Andrea Leyden
06 PROJECT TIME MANAGEMENT
miguelabascal
Project Scope Management Process
neeshar