GCSE Maths Symbols, Equations & Formulae

Description

This Flashcard deck shows you the formulae needed for your GCSE Maths exam. This includes Algebra equations and Geometry formulae.
Andrea Leyden
Flashcards by Andrea Leyden, updated more than 1 year ago More Less
Andrea Leyden
Created by Andrea Leyden over 11 years ago
Andrea Leyden
Copied by Andrea Leyden over 11 years ago
1600
67

Resource summary

Question Answer
\[\pi\] 3.141592
Circumference of a Circle C = 2\(\pi\)r
Perimeter of a Semi-circle \(\pi\) x r + 2 x r
Perimeter of a Quarter Circle \(\frac{1}{2}\) x \(\pi\) x r + 2 x r
Area of a Circle \(\pi\)\(r^2\)
Area of a Semi-circle \(\frac{1}{2}\) x \(\pi\) x \(r^2\)
Area of a Quarter Circle \(\frac{1}{4}\)\(\pi\)\(r^2\)
Area of a Rectangle base x height
Area of a Triangle \(\frac{1}{2}\) x base x height
Area of a Parallelogram base x height
Area of a Trapezium \(\frac{1}{2}\)(a + b)h
Area of a Sphere 4\(\pi\)\(r^2\)
\[a^2\] a x a
\[b^3\] b x b x b
\[c^4\] c x c x c x c
\[4d^2\] 4 x d x d
\[2e^3\] 2 x e x e x e
\[4y^2 - y\] when y = 3, y = ? (4 x y x y) - y = (4 x 3 x 3) - 3 = 33
Equation of a Straight Line y = mx + c
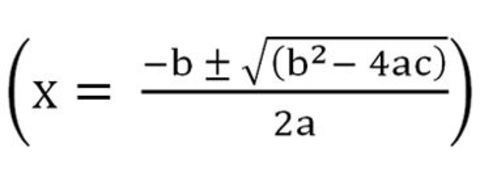
Quadratic Equations
Show full summary Hide full summary

Similar

GCSE Maths: Understanding Pythagoras' Theorem
Micheal Heffernan
Trigonometry, Equations, Pythagoras theorem
Caitlin Mortlock
GCSE Maths: Geometry & Measures
Andrea Leyden
Geometry Formulas
Selam H
Geometry Theorems
PatrickNoonan
Algebraic & Geometric Proofs
Selam H
Similar Triangles
Ellen Billingham
Perimeter Check-up
whitbyd
Geometry Quality Core
Niat Habtemariam
SAT Math Level 1 overview
Jamicia Green
Pairs of Angles
BubbleandSqueak