Física

Description

Gravidade
Giovanna  Lissa
Flashcards by Giovanna Lissa, updated more than 1 year ago
Giovanna  Lissa
Created by Giovanna Lissa over 9 years ago
6
0

Resource summary

Question Answer
1 lei de Kepler: As órbitas dos planetas são elípticas com o sol em um de seus focos.
2 lei de Kepler: áreas em tempos iguais( consequentemente tem velocidades diferentes)
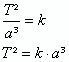
3 lei de Kepler: Lei dos períodos. T= tempo/período R= raio médio da órbita.
Show full summary Hide full summary

Similar

Leis de Newton.
GoConqr suporte .
Oscilações, ondas, óptica e radiação
Sem Parar
Cinemática Escalar: Conceitos fundamentais
Bruno Fernandes3682
Fórmulas de física
Alessandra S.
Física moderna
GoConqr suporte .
Plano de estudos ENEM - Parte 2 *Exatas/Biológicas
GoConqr suporte .
ÁTOMO
Hugo Fonseca
Simulado de física
Alessandra S.
Ondulatória
Leatrice Barros
Simulado ENEM - Ciências da Natureza
Nathalia - GoConqr
Física - Sobre Ondas
Helen Manzur