Power Law of Practice

Description

Sensation and Movment Flashcards on Power Law of Practice, created by alexlpeart on 05/05/2013.
alexlpeart
Flashcards by alexlpeart, updated more than 1 year ago
alexlpeart
Created by alexlpeart over 12 years ago
61
1

Resource summary

Question Answer
What Did Schmidt (1975) suggest about the Schema theorys application? Schema theory says we can apply motor programs to novel situations by changing them slightly.
Is variable or constant practice better for error improvement and retention of skills? Shea & Kohl, (1991) Variable is better for error improvement, and also for skill retention.
Give three factors which that influence the effect of variable learning. Age, Gender, Variable practice.
Define blocked and random practice. Blocked Practice: sequence where all the trials on one task are done together, uninterrupted by other activities Random practice: same task is never repeated on consecutive trials
Define blocked and random practice. Blocked Practice: sequence where all the trials on one task are done together, uninterrupted by other activities Random practice: same task is never repeated on consecutive trials
Draw a graph to show the relationship between the number of practices and the absolute error.
Give the equation for power law of practice.
Participants were asked to make rapid arm movements to produce three patterns after either random or blocked practice. Draw a graph to show the number of training sessions against reaction time + movement time.
Early in skill development we see _____ improvements while in later stages of development we see _____ improvements. Fast, Slow
Explain, using Weinbergs (1994) study, how self set goals, experimenter set goals and try your best goals affect performance over a period of 5 sessions. Both self and externally set goals resulted in continuous improvement leading to better performance while do your best causes fluctuations in performance seeing no significant improvement over the 5 week period.
In terms of pre-practice what is modeling? Where we show someone something and the tell them to copy the model.
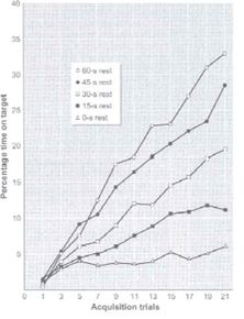
Draw a graph to show how having 0 seconds rest compares with 60 seconds rest on performance.
Which is the best type of practice, massed or distributed? Distributed, the longer the rest period the better the performance
Show full summary Hide full summary

Similar

Neuroanatomy
alexlpeart
Proprioception
alexlpeart
How do your nerves conduction information?
alexlpeart
Centeral Contributions to Motor control
alexlpeart
Making use of what we see
alexlpeart
How and what do nerves communicate?
alexlpeart
Receptor types
alexlpeart
Orientation
alexlpeart
Augmented Feedback
alexlpeart
Intronduction to neural physiology
alexlpeart
What is sensation?
alexlpeart