Fórmulas de P.A. e P.G.

Description

Matemática Flashcards on Fórmulas de P.A. e P.G. , created by Maira Bim on 17/12/2016.
Maira  Bim
Flashcards by Maira Bim, updated more than 1 year ago
Maira  Bim
Created by Maira Bim almost 9 years ago
32
2

Resource summary

Question Answer
Razão de P.A.
Razão de P.G.
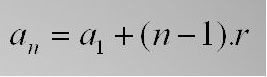
TERMO GERAL P.A.
TERMO GERAL P.G.
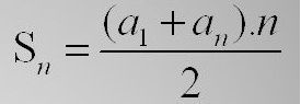
SOMA DE n TERMOS P.A. (ÁREA DO TRAPÉZIO)
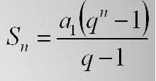
SOMA DE n TERMOS P.G. (FINITA)
SOMA DE n TERMOS P.G. (INFINITA)
Show full summary Hide full summary

Similar

Tabuada
Alessandra S.
Matemática Básica
Alessandra S.
Geometria Plana
Bruno Fernandes3682
Como Estudar Matemática
Alessandra S.
Simulado de Matemática
Alessandra S.
Simulado Matemática
Marina Faria
Matemática 9º ano
Carlos Itapecuru
Roteiro de Estudo - Matemática
Luiz Fernando
Plano de estudos ENEM - Parte 2 *Exatas/Biológicas
GoConqr suporte .
Geometria Plana Triângulo
Luiz Antonio Lopes
Matemática - Triângulos
Felipe Perreira