Mechanisms

Description

Nucleophilic substitution, electrophilic addition, Elimination, Free radical substitution
DauntlessAlpha
Flashcards by DauntlessAlpha, updated more than 1 year ago
DauntlessAlpha
Created by DauntlessAlpha almost 12 years ago
430
15

Resource summary

Question Answer
Outline the mechanism that produces an alkene from a haloalkane
Outline the conditions reagent and type of reagent where a haloalkane turns into an alkene Conditions: Ethanol, heat Reagents: NaOH/KOH Type of Reagent: Base (:OH-)
Outline the mechanism which turns an alkene into a haloalkane
Outline the mechanism which turns an alkene into a dihaloalkane
Outline the mechanism which turns a haloalkane into an alcohol
Describe the conditions, reagents and type of reagents for the reaction of a haloalkane into an alcohol Conditions: aqueous, heat under reflux Reagents: NaOH/KOH Type of reagent: Nucleophile (:OH-)
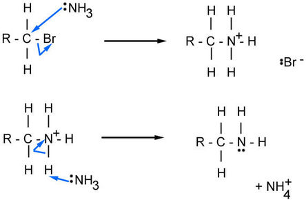
Outline the mechanism that produces an amine from a haloalkane
Outline a mechanism which produces a nitrile from a haloalkane
Describe the condition, reagents and type of reagent which produces a nitrile from a haloalkane Conditions: Dissolved in ethanol/water mixture, heat under reflux Reagent: :CN Type of reagent: Nucleophile
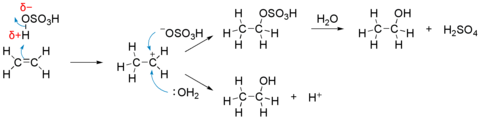
Outline the mechanism which turns an alkene into an alcohol
Describe the conditions, reagents and type of reagents for the reaction of an alkene into an alcohol Conditions: 300 degrees C, 70atm, H5PO4 catalys Reagents: H2O,H2SO4 Type of reagent: Electrophile
Show full summary Hide full summary

Similar

A Level Chemistry Unit 1 - Organic Chemistry
charlottehyde
Alcohols
Bee Brittain
Limestone
Chloe Collyer
Shapes of molecules - names and pictures
Katie Parkinson
Esters Quiz
Robert Hebbs
Carboxylic acids and their derivatives quiz
nicola.batty100
Block 7 alkenes and aromatics part 2.
vicstevens
OCR Chemistry Definitions 1.1
09valentinerhi
Elements of Life
mollyjo23
Block 8 Materials Chemistry 1
vicstevens
A2 Organic Chemistry - Reactions
yannycollins