Number flash cards

Description

Maths Flashcards on Number flash cards, created by cmcandry on 10/04/2014.
cmcandry
Flashcards by cmcandry, updated more than 1 year ago
cmcandry
Created by cmcandry over 11 years ago
70
1

Resource summary

Question Answer
Multiplying surds
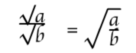
Dividing surds
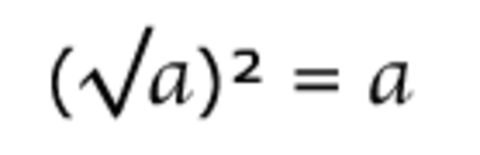
Squaring surds
Recurring decimals to fractions
Direct proportion x∝y x∝k.y x=20 y=30 When x=25 what is y? x∝y x∝k.y 20∝k.30 k=⅔ 25∝⅔y 25/⅔=y y=37.5
Show full summary Hide full summary

Similar

New GCSE Maths
Sarah Egan
Maths GCSE - What to revise!
livvy_hurrell
TYPES OF DATA
Elliot O'Leary
GCSE Maths Conversions
EmilieT
GROUPED DATA FREQUENCY TABLES: MODAL CLASS AND ESTIMATE OF MEAN
Elliot O'Leary
SAMPLING
Elliot O'Leary
Mathematics A - Edexcel - GCSE - Paper 1 November 2014 1MA0/1H Theory
Josh Anderson
Solving Simultaneous Equations
Oliver Murphy
FREQUENCY TABLES: MODE, MEDIAN AND MEAN
Elliot O'Leary
CUMULATIVE FREQUENCY DIAGRAMS
Elliot O'Leary
STEM AND LEAF DIAGRAMS
Elliot O'Leary