|
|
Created by joannalivesey
over 11 years ago
|
|
| Question | Answer |
| alkane -> halogenoalkane | halogen e.g. Cl2, UV light + RT |
| alkene -> halogenoalkane | conc HBr (aq), RT+P |
| alkene -> bromoalcohol | shake with bromine water, RT+P |
| alkene -> dihalogenoalkane | Br2 (in organic solvent), RT+P |
| alkene -> alkane | H2 (g), Pt catalyst, RT+P OR Ni catalyst, 150˚C, 5atm |
| alkene -> alcohol | steam, phosphoric acid catalyst, 300˚C, 60atm |
| alkene-> addition polymer | trace O2, 200˚C, 1500atm (addition polymerisation) |
| homolytic fission of halogenoalkanes | UV light makes radicals |
| heterolytic fission of halogenoalkanes | dissolve in polar solvent (e.g.water/ethanol mix) makes carbocation and halide ion |
| halogenoalkane -> alcohol | NaOH (aq), reflux OR water, reflux |
| halogenoalkane -> amine | conc NH3 heat in a sealed tube |
| halogenoalkane -> nitrile (R-CN) + halide ion | reflux with NaCN in ethanol/water (given on exam data sheet) |
| primary alcohol -> bromoalkane | conc H2SO4 and NaBr (s) to make HBr in situ, heat under reflux (given on exam data sheet) |
| primary alcohol -> chloroalkane | conc HCl |
| primary alcohol -> alkene | pass vapour over Al2O3 at 300˚C |
| primary alcohol -> aldehyde. (oxidation) | acidified potassium dichromate, heat and distil off as formed (goes from orange to green as dichromate ions reduced) |
| primary alcohol -> carboxylic acid. (oxidation) | Acidified potassium dichromate, Heat under reflux (goes from orange to green as dichromate ions reduced) |
| secondary alcohol -> ketone. (oxidation) | Acidified potassium dichromate Heat under reflux (goes from orange to green as dichromate ions reduced) |
| aldehyde -> primary alcohol. (reduction) | NaBH4 (given on exam data sheet) |
| ketone -> secondary alcohol. (reduction) | NaBH4 (given on exam data sheet) |
| aldehyde -> cyanohydrin | HCN alkaline conditions |
| ketone -> cyanohydrin | HCN alkaline conditions |
| aldehyde -> carboxylic acid | acidified potassium dichromate, reflux (orange to green) OR heat with Fehlings solution (orange/brown precipitate formed) |
| carboxylic acid -> ester | alcohol, conc H2SO4, heat under reflux |
| phenol -> ester | acyl chloride RT+P (makes HCl) OR acid anhydride and heat under reflux (makes carboxylic acid) both anhydrous conditions |
| ester hydrolysis | mod conc acid (e.g. H2SO4) OR mod conc alkali (e.g. NaOH) heat under reflux |
| alkylation of a primary amine | halogenoalkene + primary amine -> secondary amine + HCl/HBr |
| making primary amides (acylation) | acyl chloride + conc NH3-> primary amide + HCl |
| making secondary amides (acylation) | acyl chloride + primary amine -> secondary amide + HCl |
| amide hydrolysis | mod conc acid (e.g. HCl) OR mod conc alkali (e.g. NaOH) heat under reflux |
| Benzene -> cyclohexane | H2, finely divided Ni catalyst, 300˚C, 30atm |
| nitrobenzene -> phenylamine | catalyst: Sn + conc HCl, heat under reflux (on exam data sheet) |
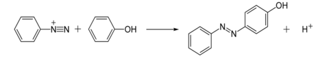
| phenyl amine -> benzenediazonium ion (diazotisation) | dilute HCl, NaNO2 (to form nitrous acid HNO2), less than 5˚C |
| diazonium ion -> azo compound | |
| benzene nitration | nitrating mix- conc nitric acid, conc sulphuric acid, less 55˚C |
| benzene sulfonation | conc sulfuric, heat under reflux for several hours |
| benzene chlorination | Cl2 (g), anhydrous AlCl3, RT+P |
| benzene Bromination | Br2 (g), anhydrous FeBr3, RT+P |
| benzene alkylation | chloroalkane, anhydrous AlCl3, heat under reflux |
| benzene acylation | acyl chloride, anhydrous AlCl3, heat under reflux |
| advantages of friedel-craft | reactions can be carried out in ionic liquids- reduces solvent emission, reduces flammability, recycle easily and allow reactions to be carried out at reduced temps |
| tests: alcohol + NaOH | no reaction |
| tests: phenol + NaOH | reacts to form a salt |
| tests: carboxylic acid + NaOH | reacts to form a salt |
| tests: alcohol + carbonate | no reaction |
| tests: phenol + carbonate | no reaction |
| tests: carboxylic acid + carbonate | fizzes- releases CO2 |
| test for phenol | neutral iron (III) chloride turns from yellow to purple |
| [Fe(H2O)6]2+ | green solution |
| [Fe(H2O)6]3+ | yellow solution |
| Fe(OH)2(s) | green gelatinous solid |
| Fe(OH)3(s) | orange gelatinous solid |
| [Cu(H2O)6]2+ | blue solution |
| [Cu(NH3)4(H2O)2]2+ | violet solution |
| [CuCl4]2- | yellow solution |
| Cu(OH)2(s) | pale blue solid |
| N2O | dinitrogen(I) oxide (nitrous oxide) colourless gas |
| NO2 | nitrogen (IV) oxide (nitrogen dioxide)-brown toxic gas |
| NO | nitrogen (II) oxide (nitrogen monoxide)- colourless gas, free radical |
| shape of N2 | linear |
| shape of ammonia | pyramid |
| shape of ammonium ion | tetrahedral |
| shape of nitrate (III) ion | bent |
| shape of nitrate (V) ion | planar triangular |
| test for aldehyde | fehlings solution, brown/orange precipitate formed |
| carboxylic acid -> aldehyde | reflux with dilute HCl |
| carboxylic acid -> acyl chloride | SCl2O, heat under reflux |
| nitrile -> carboxylic acid | heat under reflux with dilute H2SO4 |
| coupling reaction | alkali, less than 5˚C |
Want to create your own Flashcards for free with GoConqr? Learn more.