|
|
Created by Raphael Luiz Fonseca
over 11 years ago
|
|
| Question | Answer |
| Conjunto de atividades que uma organização executa para atingir seus objetivos | Processos |
| Abordagem disciplinada para identificar, desenhar, executar, documentar, medir, monitorar, controlar e melhorar processos de negócio | BPM |
| Prover o alinhamento dos processos de negócios com a estratégia, os objetivos e as cadeia de valor das organizações | Objetivo BPM |
| - Identificação e Eliminação do Retrabalho - Eliminação de etapas desnecessárias - Redução de custo e tempo - Aumento do Valor Agregado - Melhoria nos indicadores - Automatizar Rotinas - Satisfação do Cliente | Motivações BPM |
| Ciclo de Vida dos Processos | |
| - Unidade de Trabalho: Time - Figura Principal: Dono do Processo - Benefícios: Respostas rápidas ao mercado e Maior interação entre as áreas - Fraquezas: Maior Gerenciamento, Fragmentação dos grupos - Foco da Gestão: Valor entregue ao Cliente | Organização Funcional Orientada a Processos |
| Gerenciar o ciclo de vida de um processo específico | Gerenciamento DE processos |
| Implementar o BPM na empresa como um todo. | Gerenciamento POR processos. |
| - Alta Gestão - Integração - Pessoas - Processos - Produtos | Fatores Críticos de Sucesso |
| - Podem ser grandes e Complexos - Dinâmicos - Longa Duração - Integração Negócio / TI - Difícil visualizar na prática | Características dos Processos |
| - Foco no CLIENTE - Todo processo deve ter UM DONO - Horizontalidade dos processos - Visão Sistêmica da Organização | Princípios do BPM |
| - Papel Vital - Participa de todo o ciclo de vida - Não precisa ser o executor - Deve ser Diretor ou Gerente Sênior | Dono do Processo |
| Coordena e gerencia o desempenho dos processos no dia a dia | Gerente de Processos |
| - Criam modelos de processos - Análise de desempenho, impacto e simulação | Analista de Processos |
| - Pode ser o próprio analista - Transformam e desenham processos | Designer de Processos |
| - Gerenciamento dos processos de negócio visando resultados efetivos ao longo do tempo de negócio - Deve ser coordenado por um comitê ou Conselho | BPMOffice |
| - Estão ligados diretamente a cadeia de valor, "core business", ou o negócio principal da empresa. - Impactam DIRETAMENTE no cliente | Processos Primários / Essenciais / Finalísticos |
| - Prover suporte a outros processos - NÃO entrega valor diretamente aos clientes finais | Processos de Suporte |
| - Medir, Monitorar, Controlar atividades e administrar o presente e o futuro do negócio - NÃO agrega valor diretamente ao cliente final | Processos de Gerenciamento |
| - Conjunto de políticas, regulamentações, regras e procedimentos que regem um processo de negócio | Processos Reguladores |
| - Nome do Processo - Escopo - Objetivo - Dono do Processo - Patrocinador - Stakeholders - Papéis - Descrição - Regras de Negócio - Lista de Subprocessos, atividades e tarefas - Clientes - Fornecedores - Requisitos de Entrada e Saída - Evento de Entrada - Metas - Métricas - Indicadores de Desempenho - Indicadores de Qualidade - Nível de Maturidade - Lista de Risco - Documentos, Planilhas etc - Entrada - Transformação - Saída | Atributos de um Processo |
| - Recurso - Guia - Entrada - Enabler(Suporte, Recursos) | Modelo Genérico de Processos |
| - Produto( SW) que possibilita modelar, simular, implantar, executar, monitorar e otimizar os processos de ponta-a-ponta - Integra sistemas e executa regras de negócio controladas pelo modelo de processo. | BPMS |
| - Conjuntos de atividades para criação de representações de processos de negócio EXISTENTES ou PROPOSTOS | Modelagem de Processos |
| - Também chamado de Mapeamento - Transformar o entendimento dos processos atuais do tácito/implícitos para o EXPLÍCITO - Modelo As-Is | Descoberta de Processos |
| - Mostra os principais elementos de um fluxo de processos | Diagrama |
| - Visão abrangente dos principais componentes do processo e seus relacionamentos - Atores, Eventos e Resultados | Mapa |
| - Permite a simulação e geração de relatórios por meio de ferramentas BPMS | Modelo |
| - Abstrata, Altos Nível, Simples - Pools. Lanes, Tarefas, Subprocessos, Fluxo | Modelagem Descritiva |
| - Mostra todos os passos, incluindo exceções | Modelagem Analítica |
| - BPMN é a parte executável - Envolve muitas restrições de validação | Modelagem Executável |
| - Representam um estado único de processo de negócio - Representa uma fotografia ou projeção futura | Modelos Estáticos |
| - Pode ser alterado para acompanhar transformações do processo - Pode produzir um conjunto de fotografias estáticas | Modelos Dinâmicos |
| - Recomendado para redesenho do processo inteiro | Abordagem Top-Down |
| - Centradas em fluxos de trabalho e tarefas - Ideal para modelar o funcionamento de áreas funcionais | Abordagem Bottom-Up |
| - Misto do Top-Down e Bottom-Up | Abordagem Middle-Out |
| - Permite realizar verificações e experimentos antes que o processo venha realmente a ser construído de forma definitiva - Pouca formalidade e Controle | Abordagem Prototipação(Visão Evolutiva) |
| - Busca criar um entendimento comum do estado atual(As-Is) do processo e como ele cumpre seus objetivos - É essencial para avaliar como os processos estão operando - Técnicas: Workshops, Simulação, Entrevistas, Modelagem | Análise do Processo |
| - Priorizar processo primários - Impacto na estratégia de negócio - Desempenho(custo, prazo, capacidade e qualidade) | Priorizar Processos |
| - Comparar o desempenho de um processo com processos semelhantes de outra empresa. | Técnicas de Análise de Processo Benchmarking |
| - Avaliar a visão interna ( Força e Fraqueza) - Avaliar a visão externa ( Oportunidade e Ameaças) | Técnicas de Análise de Processo Análise SWOT |
| Estudo de outras organizações do mesmo segmento. | Técnicas de Análise de Processo Melhores Práticas |
| - Pesquisa - Entrevista - Workshop Estruturado - Conferencia via Web - Etnografia | Métodos de Levantamento de Informações |
| - Pontos em um processo onde o trabalho ou a informação passa de uma função para outra. | Handoffs |
| - Técnica que procura entender como os dados fluem através do sistema e como os itens de dados interagem através do processo. - Ajuda a descobrir gargalos, filas, lotes desnecessários | Análise de Fluxo de Dados |
| Melhorias Imediatas ( Quick Wins ) - Rápidas e de Baixo Custo Melhorias mais invasivas - de longa duração e custo mais alto | Oportunidade de Melhoria |
| - Lista de custo por atividades - Compor o custo total do processo | Análise de Custos |
| - Tempo que cada atividade toma dentro do processo. | Análise de Tempo de Ciclo ( de Duração ) |
| - Permite encontrar duplicidades e combinar esse padrões e um processo único ao longo de várias funções. | Análise Padrão |
| - Técnica para descobrir o que realmente causou um determinado resultado e previnir que ocorra novamente. | Análise Causa-Raiz |
| - Busca determinar o que acontece se forem feitas certas alterações nos parâmetros de um processo. | Análise de Sensibilidade ( What-if ) |
| - Resulta na criação de especificação para processos de negócio novos ou modificados. - Mudança de um processo | Desenho de Processo |
| - QUAIS atividades são executadas no fluxo do processo. | Desenho Lógico |
| - COMO as atividades são executadas e em quais funções. | Desenho Físico |
| - Grandes conjuntos de atividades - Grandes funções da organização | Níveis de Detalhamento dos Processos Macro-Processos |
| - Conjunto de atividades relacionadas que recebem uma entrada, adicionam valor e produzem uma saída. | Níveis de Detalhamento dos Processos Processos |
| Parte do processo decomposta por afinidade ou objetivo | Níveis de Detalhamento dos Processos Sub-processo |
| - Passos do processo realizados dentro de uma área funcional | Níveis de Detalhamento dos Processos Atividade |
| - Considerada a menor unidade de trabalho | Níveis de Detalhamento dos Processos Tarefa |
| - Não se terceiriza processos de negócio, mas apenas funções. | Terceirização de Processos ( BPO ) |
| Quão perto o modelo está da estrutura e funcionamento da realidade modelada | Princípios da Modelagem e Desenho de Processos Aderência |
| Cada objeto do modelo deve ter um propósito | Princípios da Modelagem e Desenho de Processos Relevância ou Suficiência |
| Analisar a quantidade de trabalho necessária para criar o modelo VS. a utilidade do modelo VS. quanto tempo o modelo será usado. | Princípios da Modelagem e Desenho de Processos Custo/Benefício |
| Capacidade do modelo adotado ser entendido e usado pelos usuários | Princípios da Modelagem e Desenho de Processos Clareza |
| Possibilidade de comparação de diferentes processos | Princípios da Modelagem e Desenho de Processos Comparabilidade |
| Capacidade de integrar modelos representando diversos aspectos da realidade | Princípios da Modelagem e Desenho de Processos Estruturação Sistemática |
| - Forma de teste de hipótese ou prova de conceito que fornece informações valiosas sobre a dinâmica do processo. - Simulações podem ser executadas tanto em modelos AS-IS ou TO-BE | Simulação de Processos |
| - Validar um modelo de processos - Prever o desempenho - Determinar quais variáveis têm maior influencia - Comparar o desempenho de diferentes desenhos de processos | Objetivos da Simulação de Processos |
| - Notação para representar o processo de negócio - Baseado em fluxograma - Trata-se de um conjunto de regras e convenções que determinam como os fluxogramas devem ser desenhados. | BPMN |
| - É uma linguagem padrão OASIS executável para especificar ações de processos de negócio com WEB SERVICE | BPEL ( Business Process Execution Language ) |
| - Abstrata, alto nível, simples - Apenas os principais conceitos como pools, lanes, tarefas, subprocessos e fluxo | Modelagem BPMN - Descritiva |
| - Mostra todos os passos, incluindo exceções - Omite apenas alguns detalhes técnicos - Pode ser usada para automação BPMS | Modelagem BPMN - Analítica |
| - Atributos padrão contém detalhe executáveis - Envolve muitas restrições de validação | Modelagem BPMN - Executável |
| - Apenas o essencial para produzir diagramas simples - Objetos de Fluxo - Dados - Objeto de Conexão - Partições - Artefatos | Elementos BPMN - Básico |
| - Lista completa de elementos que podem ser utilizados. | Elementos BPMN - Estendido |
| - Algo que acontece ou pode acontecer durante o processo - Afeta o fluxo do processo - Pode ter uma causa (gatilho) ou um impacto (resultado) | Objetos de Fluxo - Evento |
| - Consome Recursos (tempo e custo) - Passos lógicos dentro do processo | Objetos de Fluxo - Atividade |
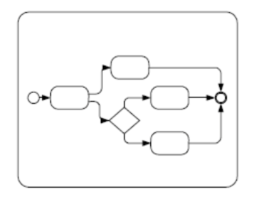
| - Controlam o fluxo de sequencia (decisão e caminhos) - Pontos de divergência e de convergência | Objetos de Fluxo - Gateway |
| - Mostra a ordem que as atividades são executadas | Objetos de Conexão - Fluxo de Sequencia |
| - Mostra o fluxo de mensagem entre "participantes" - "Participantes" diferentes ficam em pools separadas | Objetos de Conexão - Fluxo de Mensagem |
| - Usado para ligar informações e artefatos com objeto de fluxo. Ex: Anotações de texto | Objetos de Conexão - Associações |
| - Usado para ligar informações e artefatos com objetos de dados. | Objetos de Conexão - Associações de Dados |
| - Representa um participante do processo - Ajuda a definir "quem faz o que" no processo - Piscina sem detalhe ( Black Box ) - Piscina com detalhe ( White box ) | Partições - Piscina (Pool) |
| - Sub-partição do processo dentro da piscina - Se estende por todo o processo - Usado para organizar e categorizar Atividades - Indicado para representar papéis internos e sistemas | Partições - Raias ( Lanes ) |
| - Diz quais atividades precisam de uma informação ou quais produzem uma informação - Não tem efeito no fluxo de processo | Objetos de Dados |
| - Representa o conteúdo da comunicação entre participantes | Mensagem |
| - Agrupa atividades da mesma categoria - Não afeta o fluxo de sequencia - Informal | Artefatos - Grupos |
| - Fornece informações adicionais para o leitor | Artefatos - Anotações de Texto |
| - Indica onde o processo inicia | Eventos - Início |
| - Ocorre entre um evento de início e um de fim - Podem criar um delay, mostrar onde mensagens são enviadas ou recebidas, podem interromper fluxo normal do processo. | Evento - Intermediário |
| - Indica onde o processo termina. | Evento - Fim |
| - É uma atividade atômica, não pode ser quebrado | Atividade - Tarefa |
| - É uma atividade composta - Pode conter um fluxo de atividades dentro dele - O detalhes não são exibidos no diagrama | Atividade - Sub-processo Retraído |
| - Mostra os detalhes internos - Os fluxos internos não podem cruzar as fronteiras do sub-processo. | Evento - Sub-processo Expandido |
| - Um fluxo de sequencia pode ter uma expressão de condição - Não pode ser usado junto com um gateway | Fluxo - Condicional |
| - Se todos os outros caminhos forem avaliados como "falso", então o processo seguirá seu caminho. | Fluxo - Padrão ( Default ) |
| - Ocorre fora do fluxo normal do processo - Captura um erro e segue para a atividade indicada | Fluxo - Exceção |
| - Usado para desfazer algo (falha) - Ocorre fora do fluxo normal do processo | Fluxo de Dados - Associação de Compensação |
| - Representa um conjuntos de objetos | Fluxo de Dados - Coleção de Objeto de Dados |
| - Representa fluxo sem controle - É o mais usado | Bifurcação(Fork) - Múltiplas Saídas |
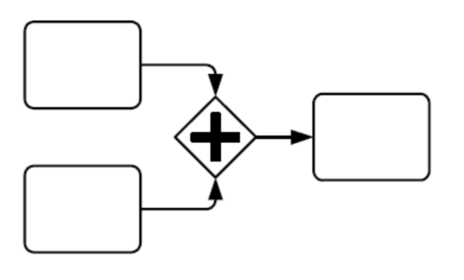
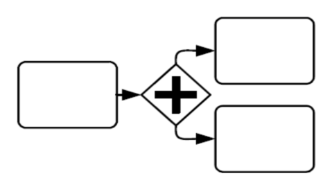
| - Também chamado de AND-gateway - Não há decisão - Todos os ramos serão executados | Gateway Paralelo |
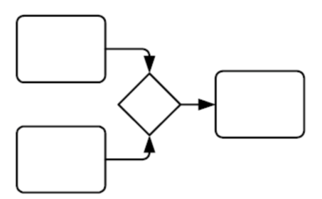
| - Apenas uma condição será executado - Representa uma decisão | Gateway Exclusivo - Baseado em Dados |
| - Ocorrência de algum dos eventos vai determinar qual caminho seguir | Gateway Exclusivo - Baseado em Eventos |
| - Cada caminho é independente - Pode seguir todos os caminhos, ou nenhum deles - Pode utilizar uma decisão Default | Gateway Inclusivo |
| - Na convergência, utilizar o mesmo gateway usado na bifurcação - Combinação Exclusiva de dois ou mais caminhos | Merging / Join ( Fusão ou Convergência ) - OR-Join |
| - Se todo o fluxo de entrada vem de alternativas Exclusivas, o comportamento é igual ao OR-Join | Merging / Join ( Fusão ou Convergência ) - Merging sem controle |
| - Combina (sincroniza ) múltiplos caminhos em paralelo - Espera todas as atividades serem completadas para prosseguir | Merging / Join ( Fusão ou Convergência ) - Junção ( AND-Join ) |
| - Os atributos da tarefa ou do sub-processo é que vão determinar se a atividade vai se repetir ou não | Looping - de Atividade |
| - Uma seta de Fluxo de Sequência leva a um objeto anterior na cadeia ("upstream") | Looping - de Fluxo de Sequência |
| Lopping - Múltiplas Instâncias | |
| - Provocado por algo fora do controle do processo - Um evento intermediário mostra o comportamento | Pausa no Processo (Process Break) |
| - Um sub-processo que garante que todas as partes envolvidas devem ser executadas por completo ou canceladas por completo | Transação (Transaction) |
| - Geralmente usado para impressão - Mostra onde o fluxo de sequência acaba em uma página e começa na seguinte - Um evento intermediário chamado "link" pode ser usado. | Conector Off-Page |
| Subconjunto de Eventos | |
| - Interno a uma organização | Sub-modelos BPMN - Processo Privado |
| - Representa as interações entre o processo privado e outro processo - Apenas as atividades que se comunicam com os outros participantes são mostradas | Sub-modelos BPMN - Processo Público |
| - Interações entre duas entidades de negócio (B2B) - Mostra dois processos públicos se comunicando - Mostra apenas as atividades utilizadas para ponto de contato | Sub-modelos BPMN - Colaborações |
| - Mostra as interações dos participantes em um formato diferente - O foco é no fluxo de mensagens e não nas atividades internas dos processos. | Sub-modelos BPMN - Coreografia (Coreography) |
| - Visão de alto nível ( para a alta administração ) - Entender as interações entre os participantes como um todo. | Sub-modelos BPMN - Conversation |
| - Tarefa feita por humano usando um software | Marcadores para Tarefa - User Task |
| - Chama serviços externos (WebServices) | Marcadores para Tarefa - Service Task |
| - Envia mensagem para outro processo | Marcadores para Tarefa - Send Task |
| - Espera o recebimento de uma mensagem enviada de outro processo | Marcadores para Tarefa - Receive Task |
| - Tarefa que executa um script, através de um motor (engine) de processos de negócio | Marcadores para Tarefa - Script Task |
| - Feita por humano sem ajuda de software | Marcadores para Tarefa - Manual Task |
| - Invoca um motor de regras de negócio, passando dados de entrada, e recebe dados de saída do motor | Marcadores para Tarefa - Business Task |
| - Observação e Registro das atividades de um processo. - Trabalho rotineiro - Observação Sistemática - Envolve a compreensão do que medir e como medir - Requer medidas, métricas e indicadores - | Desempenho de Processos |
| - Permite detectar variações em qualidade, duração, entrega e custo. | Medição de Desempenho |
| - Foco no movimento físico de trabalho de uma atividade para a próxima dentro das áreas funcionais da organização. - Foco na Eficiência | Medição de Desempenho - Fluxo de Trabalho |
| - Foco no movimento de trabalho entre as áreas funcionais e no que é entregue. - Foco na Eficácia | Medição de Desempenho - Fluxo de Processo |
| - Realizar o trabalho utilizando a menor quantidade de recursos possíveis - Fazer mais produtos utilizando a mesma quantidade de recursos. - Ex: Mão-de-obra, tempo, material | Eficiência |
| - Capacidade de fazer aquilo que é preciso, ou que é esperado, para se alcançar determinado objetivo | Eficácia |
| - Alcançar fins esperados, transformar a situação existente. - Tem impacto para as pessoas/sociedade | Efetividade |
| - Percentual de defeito de uma remessa de sapatos - Índice de satisfação do cliente | Medição de Desempenho - Atributos do produto ou serviço |
| - Tempo de ciclo - Quantidade de retrabalho - Tempo de espera entre atividades. | Medição de Desempenho - Atributos do próprio processo |
| - Rendimento de um processo em termos de extrapolação de tempo, custo, capacidade e qualidade | Desempenho de Processos |
| - Reunião de gestores para definição de itens para a medição - Alta administração deve participar também. - Listam: Objetivo da medição, Item a medir, Parâmetro de comparação, onde medir, o que medir, como será medido e responsável pela medição | Workshop de Medições |
| - Capacidade de medir e interpretar o desempenho de processos - Captura de medidas de desempenho de processos - Criação de métricas e indicadores - Interpretação de resultados. | Medição de Desempenho |
| - Duração do processo - Tempo gasto desde o início do processo até o término - Ex: tempo de entrega, tempo médio entre falhas, etc. | Medição de Desempenho - Tempo |
| - Normalmente um valor monetário associado ao processo - Ex: Custo de vendas, custo de produção, etc | Medição de Desempenho - Custo |
| - Montante ou volume de saídas viáveis de um processo - Ex: Número de transações por unidade de tempo, carga máxima possível de processamento. | Medição de Desempenho - Capacidade |
| - Normalmente é expressa como um percentual do real em relação ao ótimo - Ex: Taxa de defeito, nível de serviço esperado, confiabilidade do produto, experiência de consumo. | Medição de Desempenho - Qualidade |
| - É a quantificação de dados em um padrão e qualidade aceitáveis. - Representa o dado - Ex: 10 centímetros | Medida |
| - É uma extrapolação de medidas, isto é, uma conclusão com base em dados finitos - Representa uma informação - Ex: Números de defeitos divido por Produção Total | Métrica |
| - É uma representação de forma simples ou intuitiva de uma métrica ou medida para facilitar sua interpretação quando comparada a uma referência ou alvo. -Ex: Monitorar a quantidade de reclamações de clientes por mês. | Indicador |
| - Monitoram a causa ANTES do efeito - Possibilita alterar o curso para alcançar um resultado | Indicadores Direcionadores (Drivers) |
| - Monitora o efeito e não permitem mais alterar um dado resultado. Ex: Venda de seguros a cada X ligações | Indicadores de Resultado (outcome) |
| - É uma expressão numérica que representa o estado futuro de desempenho desejado | Meta |
| - Até que se compreenda a capacidade do processo | Meta de Forma Incremental |
| - Com as estratégias e os objetivos organizacionais e ao foco do cliente | Indicadores de Desempenho de Processos - Alinhamento |
| - Cada PPI tem um dono de processos ou gerente de processos responsável pela sua definição, monitoramento e controle | Indicadores de Desempenho de Processos - Responsabilidade |
| - Fornece uma forma de traças padrões e tendência de desempenho de processos. | Indicadores de Desempenho de Processos - Tendência |
| - PPIs são populados com dados acionáveis e em tempo oportuno, de modo que donos de processos ou gerentes de processos possam intervir para melhorar o desempenho. | Indicadores de Desempenho de Processos - Acionável |
| - Focar poucas informações de alto valor | Indicadores de Desempenho de Processos - Poucos em Número |
| - Devem ser simples | Indicadores de Desempenho de Processos - Fácil de Entender |
| - Devem equilibra-se e reforçar-se mutuamente, não competir e confundir | Indicadores de Desempenho de Processos - Equilibrados e Vinculados |
| - Deve mudar a forma como a organização se avalia. | Indicadores de Desempenho de Processos - Transformador |
| - Baseado em métricas padronizadas | Indicadores de Desempenho de Processos - Padronizado |
| - Uso de alvos e limites para que se possa medir seu progresso ao longo do tempo | Indicadores de Desempenho de Processos - Orientado a Contexto |
| - Recomenda-se o uso de compensações e incentivos | Indicadores de Desempenho de Processos - Reforçado |
| - Devem ser revisados e renovados quando necessário. | Indicadores de Desempenho de Processos - Relevante |
| Exemplo de Painel de Monitoramento (Dashboards) | |
| Identifica as atividades e determina seu “custo” e desempenho. ◦ Tudo que é consumido é “custo” Recursos tempo, pessoas, máquinas, dinheiro ◦ Visa atribuir/alocar inclusive os custos indiretos relativos a cada processo ◦ Possibilita um controle pormenorizado do processo | Custeio Baseado em Atividade (ABC – Activity Based Costing) |
| ◦ Busca padronizar as atividades do processo de forma a evitar/reduzir a variabilidade. ◦ Preventivo identifica tendências de variações através de técnicas estatísticas, que envolvem a coleta, organização e interpretação dos dados de controle do processo. ◦ Capabilidade / Capability relação entre a faixa de tolerância especificada e a variação do processo. - Aceita-se até ±3 desvios padrão. | Controle Estatístico de Processos (SPC – Statistical Process Control) |
| - Nada é esperado da organização, apenas “entregar o que o cliente quer“ | Maturidade em Gerenciamento de Desempenho - Nível 1 |
| - Alguns indicadores, métricas e medidas de tempo, custo, capacidade e qualidade são definidos. | Maturidade em Gerenciamento de Desempenho - Nível 2 |
| - Uso de indicadores, métricas e medidas de desempenho de processos ponta a ponta | Maturidade em Gerenciamento de Desempenho - Nível 3 |
| - Indicadores, métricas e medidas determinados a partir dos objetivos estratégicos | Maturidade em Gerenciamento de Desempenho - Nível 4 |
| - Medição direciona o genericamente de processos e as estratégias | Maturidade em Gerenciamento de Desempenho - Nível 5 |
| - É uma iniciativa específica ou um projeto para melhorar o alinhamento e o desempenho de processos com a estratégia organizacional e as expectativas do cliente. - Implicam em projetos que culminam na proposição de um conjunto de melhorias a serem implementadas - Requer o envolvimento de todas as partes | Melhoria de Processo (BPI – Business Process Improvement) |
| - Originada do Sistema Toyota de Produção. ◦ Foco em minimizar os desperdícios e aberto à mudança. ◦ Oferta de produtos ou serviços são puxados pela demanda do cliente e não "empurrados" para ele. | Abordagens para Melhoria Contínua - Lean |
| ◦ Busca eliminar defeitos com base em fatos e dados estatísticos do processo. ◦ Objetiva atingir não mais que 3,4 defeitos por milhão de oportunidades de defeito | Abordagens para Melhoria Contínua - Six Sigma |
| ◦ ênfase em medição e controles de processo. ◦ Precursor do Six Sigma | Abordagens para Melhoria Contínua - TQM (Total Quality Management) |
| ◦ “Repensar ponta a ponta sobre o que o processo está realizando atualmente”. ◦ Perspectiva holística, ao invés de mudanças incrementais. ◦ Mas as mudanças são baseadas em conceitos do processo existente. | Redesenho de Processos |
| ◦ “Um repensar fundamental e um redesenho radical de processos para obter melhorias dramáticas no negócio.” ◦ Começa a partir do zero, nenhuma ideia está descartada | Reengenharia de Processos |
| - Fornece um método para avaliar e gerenciar os processos da organização em uma visão consolidada - Fornece uma estrutura de trabalho para governança de processos | Portfólio de Processos |
| - Localização central para armazenar informação sobre como uma organização opera. - Guarda toda documentação sobre os processos: ◦ Quem é o responsável, entradas/saídas, regras de negócio, controles financeiros e operacionais, etc | Repositório de Processos |
| ◦ Relacionam as atividades necessárias para entregar valor. - O foco está na eficácia ◦ São modelos conceituais lidam com “O QUE” | Arquitetura de Negócios |
| ◦ Foca nas atividades físicas e seu gerenciamento ◦ Define “COMO” as coisas devem ser feitas - Como um produto ou serviço é construído e entregue. ◦ O foco está na eficiência | Arquitetura de Processos |
| - Aplicação de princípios, métodos e práticas de BPM em uma organização. - Assegura o alinhamento entre o portfólio e a arquitetura de processos ponta a ponta com a estratégia e os recursos da organização - Fornece um modelo de governança para o gerenciamento e a avaliação de iniciativas de BPM | EPM – Enterprise Process Management |
| ◦ Diagrama esquemático dos processos organizacionais ◦ Estrutura de trabalho de medição centrada no cliente ◦ Plano de gerenciamento e transformação de processos | EPM tem três requisitos essenciais |
| - A qualidade do produto final está diretamente relacionada à qualidade do processo utilizado para produzi-lo. - O nível de maturidade é obtido pela comparação do estado atual dos processos versus práticas definidas em modelos de maturidade em processos disponíveis na comunidade. Ex: CMMI | Maturidade dos Processos |
| Níveis de Maturidade no CBOK | |
| ◦ Pouca ou nenhuma compreensão e definição sobre os processo interfuncionais ponta a ponta. ◦ Baixa visibilidade sobre os verdadeiros meios para entrega de valor para o cliente. ◦ Conhecimento fragmentado, sem documentação | Níveis de Maturidade - Ad-Hoc (Inicial) |
| ◦ Planejamento, definição, desenho detalhado, criação e implementação do processo. ◦ Surgimento de papéis de processos. ◦ Integração entre negócios e TI | Níveis de Maturidade - Definido |
| ◦ Capacidades de monitoramento e reporte de desempenho. ◦ Resposta a mudança e melhoria contínua ◦ Papéis especializados: donos de processos e gerentes | Níveis de Maturidade - Controlado |
| ◦ Capacidades de monitoramento e reporte de desempenho. ◦ Resposta a mudança e melhoria contínua. ◦ Papéis especializados: donos de processos e gerentes | Níveis de Maturidade - Controlado |
| ◦ Capacidade de prever e planejar mudança. A fim de aproveitá-la ou impedi-la de comprometer a entrega de valor para o cliente | Níveis de Maturidade - Gerenciado Proativamente |
| ◦ Modelo de Referência definido pela OMG ◦ Desenvolvido pelos co-autores do CMM ◦ Pode ser facilmente mapeado para os níveis CMMI | Business Process Maturity Model (BPMM) |
| - Suporte qualquer linguagem alternativa - Intercâmbio de modelos entre ferramentas | XML Process Definition Language (XPDL) |
| - Cada atividade do processo se transforma em uma pequena aplicação. - Formulários são usados para definir a interação com usuários. - Lógicas de negócios e regras de uso e edição de dados estão associadas a cada elemento de dados e formulário. - Novo paradigma para construção de sistemas. - Suporte a vários utilizadores simultâneos e movimentar modelos entre pessoas ou equipes. | Automação de Processos com a ferramenta BPMS |
| - Plataforma com inteligência de mineração de processos (process mining). - Análises de dados em tempo real e tecnologias de apoio à decisão são coordenadas dinamicamente em processos de negócio. - Pode haver integração com mídias sociais | iBPMS |
| ◦ Ferramentas para análise e modelagem de processos. ◦ Suporte a representações gráficas e descrições detalhadas dos objetivos e requisitos para o processo | Business Process Analysis (BPA) |
| ◦ Modelagem da estrutura da organização. ◦ Estratégia de negócio, processos, infraestrutura de tecnologia da informação, organização e cultura. ◦ Pode usar BPMN. | Tecnologias BPM - Enterprise Architecture (EA) |
| ◦ Medição de desempenho e monitoramento em tempo real (online) para comparação com indicadores de desempenho. ◦ Utiliza painéis de monitoramento | Business Activity Monitoring (BAM) |
| - Regras de negócio definem como o trabalho será executado em cada atividade / etapa. - Suporte à identificação, definição, racionalização e qualidade de regras de negócio. - Armazenamento das regras em repositório corporativo único | Business Rules Management Systems (BRMS) |
| - Métrica de qualidade que mede, em essência, a capacidade de filtragem de controle e garantia da qualidade de um software por meio da quantidade de erros encontrados antes da sua entrega e a quantidade de defeitos encontrado após a entrega. | Defect Removal Efficiency (DRE) |
| - São as transações de comércio entre empresas. Uma empresa vendendo para outra empresa é B2B. É a sigla mais famosa e acaba representado todos as outras abaixo quando generalizada. Um exemplo é a venda material de escritório para empresas. | B2B (Business to Business) |
| - É o comércio entre a empresa e o consumidor. Este é o mais comum. Em uma concessionária, por exemplo, é o que mais se pratica | B2C (Business to Consumer) |
| - Este é o comércio entre consumidores. Ele é intermediado normalmente por uma empresa (o dono do site). O exemplo são os sites de leilão como o Ebay ou Classificados On-line. | C2C (Consumer to Consumer) |
| - São as transações entre empresa e governo. Os exemplos comuns de B2G são licitações e compras de fornecedores, numa concessionária geralmente é feito através do departamento de Vendas Diretas. | B2G (Business to Governement) |
Want to create your own Flashcards for free with GoConqr? Learn more.