Differenzialrechnung (Analysis) Zusammenfassung

Description

Erhalte hier nochmal den perfekten Analysis-Überblick, damit du auch nichts vergisst. Quelle: www.frustfrei-lernen.de
C P
Slide Set by C P, updated more than 1 year ago More Less
Laura Overhoff
Created by Laura Overhoff over 9 years ago
Antonia C
Copied by Antonia C over 9 years ago
C P
Copied by C P over 4 years ago
8
0

Resource summary

Slide 2

    Für das Themengebiet Analysis solltest du für das Abi die folgenden Grundbegriffe & -themen kennen und lernen: Differenzialrechnung (z.B. Differenzenquotient und Differentialquotient.) Ableitung sollte für dich kein Fremdwort sein Kenne die wichtigsten Ableitungsregeln Potenz-, Summen-, Faktor-, Ketten- sowie die Quotientenregeln Konvergenz und Grenzwerte von Funktionen Fragen wie „Wann ist eine Funktion differenzierbar?” und „Wann ist eine Funktion stetig und wie untersucht man Funktionen hinsichtlich ihrer Symmetrie und Monotonie?” solltest du beantworten können. Also: Überlege dir, wie du im Abitur bei der Analyse von Funktionen vorgehen kannst.
    Was gehört alles zu 'Analysis'?
    Caption: : Behalte den Durchblick!

Slide 3

    Funktionen generell
    Eine Funktion besteht aus drei Teilen: Funktionsgleichung Definitionsmenge Wertemenge Beispiel einer Funktion:  y=2x, D={1,2,3,4}, W={2,4,6,8} ErklärungBei y=2x handelt es sich um die Funktionsgleichung der Funktion. Sie gibt an, was man mit einem x-Wert machen muss, um den dazugehörigen y-Wert zu erhalten: In diesem Fall muss jeder x-Wert mit 2 multipliziert werden. Bei D={1,2,3,4} handelt sich um die Definitionsmenge der Funktion. Sie gibt an, welche x-Werte in die Funktion eingesetzt werden dürfen: In diesem Fall darf man die Zahlen 1, 2, 3 und 4 für x einsetzen. Bei W={2,4,6,8} handelt es sich um die Wertemenge der Funktion. Sie gibt an, welche y-Werte die Funktion annehmen kann.
    Caption: : Ein Videotutorial, dass dir noch einmal genau erläutert, was es mit einer Funktion auf sich hat

Slide 4

    Grundlagen zur Ableitung von Funktionen - Konstante Steigung
    Zunächst ist zu klären, was es mit der Steigung auf sich hat. Zu diesem Zweck schau dir zunächst eine lineare Funktion an. Schau dir die linke Grafik an: Eine Funktion. Ziel ist es, deren Steigung zu bestimmen. Steigung? Das kennst du z.B. von einer Straße, die den Berg hoch geht. Du hast also eine Steigung zu bewältigen. So etwas kann man auch mathematisch beschreiben. Also schau die Grafik einmal an..Wie du siehst, ist die Steigung überall gleich. Diese möchten wir nun ausrechnen. Dabei wählen wir zwei Punkte und bilden dann ein Steigungsdreieck. Hier eine Schritt-für-Schritt Anleitung: Wähle einen ersten Punkt auf der Gerade aus. Punkt 1: x = 6 und y = 3 Wähle einen zweiten Punkt auf der Gerade aus: Punkt 2: x = 2 und y = 1 Bilde Δy durch Subtraktion der y-Angaben: 3 - 1 = 2 Bilde Δx durch Subtraktion der x-Angaben: 6 - 2 = 4 Steigung = Δy : Δx -> Steigung = 2 : 4 = 0,5 Die Steigung beträgt somit 0,5
    Caption: : Eine Funktion

Slide 5

    Nicht konstante Steigung
    Die Steigung gerade war überall gleich. Das macht es recht einfach, diese zu berechnen. Aufwendiger wird es bei einer "krummen" Funktion. Genau darum dreht sich die Differentialrechnung: Du willst die Steigung in einem gewissen Punkt rausfinden. Nimm dazu den Punkt x = 2 und y = 1, den wir durch ein kleines Kreuzchen in der Grafik eingezeichnet haben. Um ein Steigungsdreieck zu erhalten wird ein zweiter Punkt eingetragen ( so wie wir das auch bei der linearen Funktion gemacht haben ), in diesem Fall bei x = 7 und y = 5,5. Verbinde diese beiden Punkte. Du erhälst eine Sekante, sprich die Funktion wird an zwei Stellen geschnitten ( dort wo die Berührpunkte mit der eingezeichneten Gerade liegen ). Mit dieser kannst du eigentlich jetzt die Steigung berechnen, eigentlich...Denn leider haben wir einen kleinen Fehler gemacht. Schaut man sich die Gerade einmal an, sieht man, dass diese nicht ganz der Steigung im Punkt x = 2 und y=1 entspricht. Der Grund: Die Funktion, die wir haben, ist gekrümmt und ändert ständig die Steigung. Nehmen wir uns also einen zweiten Punkt in etwas größerer Entfernung zum ersten Punkt, entsteht eine "ungenaue" Steigung. Deshalb müssen wir den zweiten Punkt ganz nah am ersten Punkt wählen. Schieben wir diesen zweiten Punkt ganz nah an den ersten ran, haben wir irgendwann den Punkt erreicht, wo der eine Punkt fast auf dem zweiten Punkt liegt. Wir haben dann nur noch einen Schnittpunkt mit der Geraden und damit eine Tangente mit exakter Steigung vorliegen.
    Caption: : Nicht konstante Steigung

Slide 6

    Die Differentialrechnung
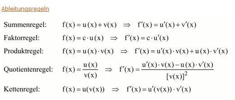
    Die Differentialrechnung untersucht das Steigungsverhalten. Schülern wird manchmal die Herleitung erspart oder nur in kurzer Zeit gezeigt. Was du dir merken musst: Durch das Ableiten einer Funktion erhälst du deren Steigungsverhalten. Um dies möglichst einfach zu machen, brauchst du dich nicht mit Grenzwertübergängen zu quälen, sondern musst "nur" einige Ableitungsregeln kennenlernen. Mit genau diesen befassen wir uns in den folgenden Folien. Dabei gilt: f(x) = ... bzw. y = ... stellt die "Ausgangsfunktion" dar. Leitet man ab, erhält man f'(x) = ... bzw. y' = .... Leitet man noch einmal ab, erhält man f''(x) = ... bzw. y'' = .

Slide 7

Slide 8

    Ableitung: Faktor- & Potenzregel
    Ziel ist es hier, Funktionen wie zum Beispiel f(x) = y = x4 oder f(x) = y = 3x2 oder auch f(x) = y = 5x abzuleiten. Allgemein gilt: y = xn mit der Ableitung y' = n · xn-1. Ein Faktor bleibt erhalten. Hier die allgemeine Anwendung der Faktorregel und Potenzregel, einige Beispiele folgen anschließend: Schreib dir die Aufgabenstellung in der Form y = ... auf Schreib darunter y' = Schreib den Exponent von x hinter y' = Schreib dann das x hin Der Exponent für die Ableitung wird um eins reduziert. Der Faktor bleibt erhalten Wie das linke Beispiel zeigt: Die Ableitung einer Zahl (ohne x) ist stets Null.
    Caption: : Beispiel

Slide 9

    Ableitung: Summenregel
    Die Summenregel besagt: Bei einer endlichen Summe von Funktionen darf gliedweise differenziert werden. Auch dies lässt sich am besten anhand vom Beispiel rechts zeigen.
    Caption: : Summenregelbeispiel

Slide 10

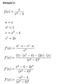
Slide 12

Slide 14

Slide 15

    Wendepunkt berechnen
    Wendepunkt: Ein Punkt auf einem Funktionsgraphen, an welchem der Graph sein Krümmungsverhalten ändert. Ein Graph wechselt hier entweder von einer Rechts- in eine Linkskurve oder umgekehrt. Wie berechne ich einen Wendepunkt? Dazu bedient man sich wie auch beim Hochpunkt bzw. Tiefpunkt  der Differentialrechnung. Die hinreichende Bedingung für einen Wendepunkt lautet: f''(x0) = 0 f'''(x0 ) ≠ 0 Führe die folgenden Schritte durch: Wir leiten die Funktion f(x) dreimal ab. Wir setzen die zweite Ableitung Null und berechnen den X-Wert, sofern möglich Sofern möglich, setzen wir diesen X-Wert in die dritte Ableitung ein Ist dieses Ergebnis ungleich Null, liegt ein Wendepunkt vor Der X-Wert wird in f(x) eingesetzt, um den zugehörigen Y-Wert zu bestimmen

Slide 16

    Sattelpunkt berechnen
    Sattelpunkt: Ein Wendepunkt mit waagrechter Tangente Wie berechne ich einen Sattelpunkt? Dazu bedient man sich wie auch beim Hochpunkt bzw. Tiefpunkt der Differentialrechnung. Die hinreichende Bedingung für einen Sattelpunkt lautet: f'(x0) = 0 f''(x0) = 0 f'''(x0 ) ≠ 0 Um eine Funktion auf Sattelpunkte hin zu untersuchen, führe die folgenden Schritte durch: Leite  die Funktion f(x) dreimal ab. Setze die erste Ableitung Null Setze die zweite Ableitung Null Sofern möglich, setze diesen X-Wert in die dritte Ableitung ein f'''(x) muss dann ungleich Null sein Der X-Wert wird in f(x) eingesetzt, um den zugehörigen Y-Wert zu bestimmen
Show full summary Hide full summary

Similar

Mathe Quiz
JohannesK
Stilmittel
Cassibodua
AN (Analysis) Differenzialrechnung Zusammenfassung
Mathe Queen
Differenzialrechnung (Analysis) Zusammenfassung
Philipp Westphal
Mathematik '16 Bayern
JFK24
Differenzialrechnung (Analysis) Zusammenfassung
Katrin Renzing-Köhler
Differenzialrechnung (Analysis) Zusammenfassung
Stefan Preisl
AN Differenzialrechnung Zusammenfassung
Mathe Queen
AN Analysis Zusammenfassung
Mathe Queen
Statistik Theorie
Clara Vanessa
Mathe Themen
barbara91