Electrotecnia Básica

Description

Mind Map on Electrotecnia Básica, created by Felipe Soto on 14/08/2014.
Felipe Soto
Mind Map by Felipe Soto, updated more than 1 year ago
Felipe Soto
Created by Felipe Soto about 11 years ago
475
7

Resource summary

Electrotecnia Básica
  1. Introducción
    1. 1. Fuentes energéticas
      1. 1
        1. 1.1. Fuente primaria
          1. O energético primario. Proveniente de un recurso natural
            1. Las energías primarias son los recursos naturales disponibles en forma
              1. Directa
                1. Energía sola, leña
                2. Indirecta
                  1. Después de un proceso minero, sin transformación (extracción de petróleo)
              2. Clasificación
                1. Renovables
                  1. Uso sustentable en el tiempo. No se agotan en la escala humana
                    1. Hidroenergía, Eólica, Solar
                    2. No renovables
                      1. Petróleo crudo, nuclear, gas natural
                        1. Uso limitado en el tiempo
                    3. 1.2. Fuente secundaria
                      1. O energético secundario. Proveniente de la transformación o elaboración de recursos energéticos naturales (primarios) o a partir de otra fuente energética ya elaborada
                        1. Se procesa física- química- bioquímica- mente en un centro de transformación hacia un centro de consumo
                          1. Ej. Electricidad, derivados del petróleo, carbón miral y gas natural
                        2. 3. Sistema Chileno
                          1. 2. Etapas
                            1. Generación
                              1. Transmisión
                                1. Conducción de la energía eléctrica desde las grandes centrales hasta centros de consumo
                                2. Distribución
                                  1. Transporte a diferentes usuario
                                  2. Comercialización
                                    1. Compra y venta de energía eléctrica
                                    2. Producción de energía eléctrica
                                  3. 4. Energía eléctrica
                                    1. Ventajas
                                      1. 1. Facilidad para transformarse en otras fuentes de energía
                                        1. 2. Flujo continuo fácil de transportar y distribuir
                                          1. 3. Fácil regulación
                                            1. 4. Ecológica, Silenciosa, flexible, sin residuos
                                              1. 5. Primordial para la actividad económica y desarrollo humano
                                            2. Desventajas
                                              1. 1. No acumulable, excepto en cantidades limitadas
                                                1. 2. Al no ser usada en su totalidad, su valor aumenta
                                                  1. 3. Siempre conectada al consumidor
                                                    1. 4. Fuente de origen alejada de centros de consumo
                                                2. 3.1. Energía renovables en Chile
                                                  1. Pobre desarrollo debido a
                                                    1. 1. Mayores costos de inversión en comparación con su provecho energético
                                                      1. 2. Barreras mercantiles y jurídicas discriminatorias en su contra
                                                      2. Ventajas
                                                        1. 1. Explotan gama de recursos poco utilizados en Chile (eólicos, geotermia)
                                                          1. 2. Permite descentralización
                                                            1. 3. De menor tiempo de instalación
                                                              1. 4. Pueden transar bonos de carbono
                                                                1. 5. No pagan peaje troncal
                                                          2. Definiciones
                                                            1. 2
                                                              1. Conductor
                                                                1. Material por el cual partículas cargadas (portadores de carga) se mueven libremente
                                                                2. Corriente eléctrica o Intensidad
                                                                  1. Flujo de cargas eléctricas o electrones que atraviesan un área en una unidad de tiempo Culombio por segundos o Amperes
                                                                    1. Todos los portadores que hay en vd *∆t pasan a través de A en un ∆t.
                                                                      1. La carga total en el volumen A*vd*∆t es ∆q = q*n*A*vd*∆t
                                                                        1. n: densidad de portadores
                                                                          1. q: carga portador
                                                                      2. La corriente siempre fluye de mayor a menor potencial
                                                                    2. Resistencia
                                                                      1. Medida de la oposición que ejerce un material al flujo de carga a través de el
                                                                      2. Ley de Ohm
                                                                        1. Materiales óhmicos
                                                                          1. La resistencia no depende de la caída de potencial ni de la intensidad
                                                                        2. Fuera electromotriz
                                                                          1. O fem. Dispositivo que convierte la energía química o mecánica en energía eléctrica
                                                                            1. Fuente fem ideal
                                                                              1. Fuente fem real
                                                                                1. La diferencia de potencial disminuye con el aumento de la corriente
                                                                                2. Mantiene constante la diferencia de potencial entre sus bornes (puntos de conexión de la batería) e igual a ε
                                                                              2. Potencia
                                                                                1. En un conductor, las cargas positivas van de potenciales altos a bajo, las cargas negativas hacen lo contrario, con esto se pierde energía potencial pero aumenta la cinética y por ende hay energía térmica
                                                                                2. Conductividad
                                                                                  1. Inversa de la resistividad
                                                                                  2. Resistividad
                                                                                    1. Relación entre la resistencia de un conductor y su tamaño
                                                                                    2. Ley de Joule
                                                                                      1. Potencia es energía por unidad de tiempo que se a usado para realizar un trabajo
                                                                                      2. Circuitos
                                                                                        1. Abierto
                                                                                          1. Rama de un circuito en la que no pasa corriente
                                                                                          2. Cortocircuito
                                                                                            1. Recorrido de baja resistencia (R=0 ideal) entre dos puntos del circuíto
                                                                                            2. Circuitos serie
                                                                                              1. Corriente igual en todos los elementos
                                                                                              2. Circuitos paralelo
                                                                                                1. Tensión (V) igual en todos los elementos
                                                                                              3. Ley de Kirchhoff
                                                                                                1. Ley de Kirchhoff de las corrientes LKC
                                                                                                  1. En un nudo la suma de las corrientes es cero
                                                                                                    1. Se usa + para las que salen y - para las que entran
                                                                                                  2. Ley de Kirchhoff de los voltajes LKV
                                                                                                    1. En una malla la suma de las caídas de tensión es cero en todo instante
                                                                                                  3. Resistencia equivalente
                                                                                                    1. Aquella que si es reemplazada por una combinación de resistencias, produce el mismo efecto
                                                                                                    2. Capacitor o condensador
                                                                                                      1. Almacena energía eléctrica en forma de campo eléctrico
                                                                                                        1. Consiste en dos láminas conductoras en situación de influencia total (todas las líneas de campo eléctrico que parten van a parar a la otra), separadas por un material de resistencia muy grande (dieléctrico o vacío). La carga eléctrica almacenada en una de ellas es igual a la almacenada en la otra pero con signo opuesto Q1 = -Q2
                                                                                                        2. Capacidad o capacitancia
                                                                                                          1. Relaciona la corriente de conducción con la variación de tensión
                                                                                                        3. Inductor o bobina
                                                                                                          1. Capaces de almacenar y entregar cantidades finitas de energía en forma de campo magnético
                                                                                                            1. Este reacciona frente a cambios bruscos de corriente
                                                                                                            2. Inductancia (L)
                                                                                                              1. Mide el valor de oposición de la bobina al paso de corriente. Se mide en Henrios (H). Depende de:
                                                                                                                1. Número y diámetro de espiras
                                                                                                                  1. Longitud del cable; Tipo de material del núcleo
                                                                                                              2. Tensión
                                                                                                                1. Trabajo requerido para mover una carga eléctrica. Si dos puntos tienen diferencia de potencial, se producirá flujo de electrones
                                                                                                                  1. Los signos + y - representan donde esta el mayor y menor potencial respectivamente
                                                                                                                2. Conductancia (S)
                                                                                                                  1. Propiedad de mover, transportar o desplazar electrónes
                                                                                                                3. Definiciones
                                                                                                                  1. 3
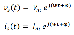
                                                                                                                    1. Excitación senusoidal en corriente alterna
                                                                                                                      1. La fuente de excitación en SEP (Sistema eléctrico de potencia, de alta tensión) es sinusoidal
                                                                                                                        1. Siempre se presenta como seno
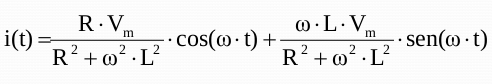
                                                                                                                        2. Respuesta de un circuito RL en estado permanente o estacionario; esto no significa que sea constante, sino que no es transitorio
                                                                                                                          1. Como se obtiene I(t)?
                                                                                                                            1. La respuesta sinusoidal estacionario tiene la siguiente forma (debe ser sinusoidal)
                                                                                                                              1. Reemplazandola en la ecuación diferencial
                                                                                                                                1. Se puede dejar de esta forma
                                                                                                                                  1. En definitiva:
                                                                                                                            2. Inductancia, capacitancia
                                                                                                                              1. En DC y regimen permanente una bobina ideal se comporta como cortocircuito; una real se comporta como una resistencia que corresponderá al de su devanado (enrollar un hilo a un eje)
                                                                                                                                1. El condensador se comportará como un circuito abierto
                                                                                                                                2. En un RL en t0 al cerrar el interruptor, la bobina crea una fuerza que se opone a la corriente (fuerza contraelectromotriz), por lo tanto partirá con intensidad nula e ira aumentando exponencialmente
                                                                                                                                  1. En un RC en t0 el condensador comienza a cargarse y luego en t2 cuando se abre, se cortocircuita y se descarga
                                                                                                                                    1. El tiempo transitorio t0 a t1, se considera como 5τ
                                                                                                                                    2. Los condensadores se comportan alreves de la resistencia
                                                                                                                                      1. Los inductores se comportan igual a la resistencia
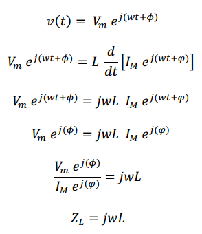
                                                                                                                                    3. Impedancia Z
                                                                                                                                      1. Razón del voltaje fasorial a la corriente fasorial
                                                                                                                                        1. Forma parte del dominio de frecuencias y se mide en Ohms
                                                                                                                                          1. EJEMPLO
                                                                                                                                            1. ERROR: acá es -0,5j
                                                                                                                                      2. Fasores
                                                                                                                                        1. Repaso
                                                                                                                                          1. Un número complejo se puede escribir como
                                                                                                                                            1. Sus propiedades son fáciles
                                                                                                                                              1. Propiedades seno conseno
                                                                                                                                                1. Identidad de euler
                                                                                                                                              2. Una función sinusoidal se puede representar entonces como
                                                                                                                                                1. A una frecuencia determinada, estas se caracterizan solo por la amplitud y angulo de desfase
                                                                                                                                                  1. Para transformar a fasor, se pasa a coseno y se obtiene la parte Real
                                                                                                                                                    1. EJEMPLO
                                                                                                                                                      1. EJEMPLO
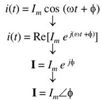
                                                                                                                                                    2. i(t): representación en el dominio del tiempo
                                                                                                                                                      1. I: representación en el dominio de la frecuencia
                                                                                                                                                        1. EJEMPLO
                                                                                                                                                          1. Esto se conoce como impedancia
                                                                                                                                                        2. La parte del exponente jwt no contiene información útil y se elimina. Al igual que la parte RE
                                                                                                                                                    3. Definiciones
                                                                                                                                                      1. 4
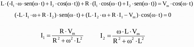
                                                                                                                                                        1. Diagrama de fasores
                                                                                                                                                          1. Por formula de impedancia, tenemos que
                                                                                                                                                          2. Potencia
                                                                                                                                                            1. Potencia instantánea
                                                                                                                                                              1. Potencia media
                                                                                                                                                                1. A cos(β) se le conoce como el factor de potencia
                                                                                                                                                                  1. RMS también se le conoce como efectivo o real o nominal
                                                                                                                                                                2. Potencia Aparente o compleja (S)
                                                                                                                                                                  1. Potencia real o activa (P)
                                                                                                                                                                    1. Es la potencia media
                                                                                                                                                                    2. Potencia reactiva (Q)
                                                                                                                                                                      1. Es la almacenada en un condensador o bobina
                                                                                                                                                                        1. Se mide en VAR (Volts amperes reactivos)
                                                                                                                                                                      2. Es la potencia requerida como entrada. Se mide en VA
                                                                                                                                                                        1. Si descomponemos la corriente en su componente activa (en fase con la tensión) y en su fase reactiva obtenemos
                                                                                                                                                                      3. Factor potencia
                                                                                                                                                                        1. Φ es el ángulo entre la potencia real y aparente
                                                                                                                                                                          1. Cuando es cercano a 1, el circuito es resistivo; cuando es cercano a 0 el circuito es reactivo
                                                                                                                                                                            1. Si hacemos un análisis, el FP es también la diferencia de fase entre la tensión y la corriente, lo que se llama Impedancia.
                                                                                                                                                                              1. Un FP adelantado implica que la corriente se adelanta a la tensión; FP capacitivo
                                                                                                                                                                                1. Un FP atrasado es un FP inductivo
                                                                                                                                                                          Show full summary Hide full summary

                                                                                                                                                                          Similar

                                                                                                                                                                          Pilas y electrolisis - Repaso para Selectividad
                                                                                                                                                                          Diego Santos
                                                                                                                                                                          Fundamentos Básicos de la electricidad
                                                                                                                                                                          SC IDEA
                                                                                                                                                                          Transporte y Movilidad
                                                                                                                                                                          juliana Clavijo
                                                                                                                                                                          Test de Física - Selectividad
                                                                                                                                                                          Virginia Vera
                                                                                                                                                                          ELECTROMAGNETISMO
                                                                                                                                                                          maya velasquez
                                                                                                                                                                          Diferencias entre la Química y Física
                                                                                                                                                                          maya velasquez
                                                                                                                                                                          Física: Conceptos Básicos
                                                                                                                                                                          maya velasquez
                                                                                                                                                                          INTRODUCCIÓN A LA FÍSICA
                                                                                                                                                                          moises silva daza
                                                                                                                                                                          Efecto Fotoeléctrico
                                                                                                                                                                          Katharine Poloche
                                                                                                                                                                          ¿QUÉ ES LA ELECTRICIDAD ESTÁTICA?
                                                                                                                                                                          Camilo Monroy Pi
                                                                                                                                                                          CUESTIONARIO DE FÍSICA
                                                                                                                                                                          amam3105