TIPOS DE DISTRIBUCIÓN DE FRECUENCIA

Description

MAPA MENTAL sobre distribuiciones de frecuencia
Andrea De  Vasconcelos
Mind Map by Andrea De Vasconcelos , updated more than 1 year ago More Less
veronica Ortega5607
Created by veronica Ortega5607 about 10 years ago
Andrea De  Vasconcelos
Copied by Andrea De Vasconcelos over 6 years ago
4
0

Resource summary

TIPOS DE DISTRIBUCIÓN DE FRECUENCIA

Annotations:

  • Es aquella que permite calcular todos los resultados probables de ocurrir de un experimento determinado, así como la probabilidad de ocurrencias de estos resultados
  • Distribución de probabilidad: Es aquella que permite calcular todos los resultados probables de ocurrir de un experimento determinado, así como la probabilidad de ocurrencias de estos resultados
  1. VARIABLE ALEATORIA

    Annotations:

    • Variable aleatoria. Corresponde al valor resultante de un determinado experimento. Distinguiremos entre variables aleatorias discretas y continuas.
    1. DISCRETA

      Annotations:

      • Definición: Se dice que una variable aleatoria es discreta si toma un numero finito o a lo más numerable de valores
      1. BINOMIAL

        Annotations:

        • La variable aleatoria binomial, X, expresa el número de éxitos obtenidos en cada prueba del experimento. La variable binomial es una variable aleatoria discreta, sólo puede tomar los valores 0, 1, 2, 3, 4, ..., n suponiendo que se han realizado n pruebas
        1. PROPIEDADES: La media y la varianza de la variable binomial se calculan como: Media = μ = n p Varianza = σ2 = n p q
          1. Gráficamente el aspecto de la distribución depende de que sea o no simétrica Por ejemplo, el caso en que n = 4:
            1. POISSON

              Annotations:

              • La distribución de Poisson se utiliza en situaciones donde los sucesos son impredecibles o de ocurrencia aleatoria. En otras palabras no se sabe el total de posibles resultados. Permite determinar la probabilidad de ocurrencia de un suceso con resultado discreto. Es muy útil cuando la muestra o segmento n es grande y la probabilidad de éxitos p es pequeña. Se utiliza cuando la probabilidad del evento que nos interesa se distribuye dentro de un segmento n dado como por ejemplo distancia, área, volumen o tiempo definido.  
              1. PROPIEDADES: La función de probabilidad de una variable Poisson es: El parámetro de la distribución es λ que es igual a la media y a la varianza de la variable. La distribución de Poisson se forma de una serie de experimentos de Bernoulli. La media μ o valor esperado en la distribución de Poisson es igual a λ. La varianza (σ2 ) en la distribución de Poisson también es igual a λ. La desviacion estándar es la raíz de λ.
                1. GRAFICAMENTE
                2. HIPERGEOMETRICA

                  Annotations:

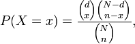
                  • La función de probabilidad de una variable aleatoria con distribución hipergeométrica puede deducirse a través de razonamientos combinatorios y es igual a
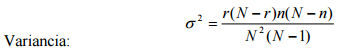
                  1. PROPIEDADES MEDIA, VARIANZA Y DESVIACIÓN ESTÁNDAR: la media de unadistribución hipergeometrica será, como en el caso de la binomial
                    1. FUNCION
                      1. PROPIEDADES:
                            1. GRAFICAMENTE
                              1. El aspecto de la distribución es bastante similar al de la binomial. Como ejemplo, mostramos los casos análogos a los de las binomiales del apartado anterior (p inicial = 0,25 y n = 4)
                            2. Ejemplo de variable aleatoria discreta: al lanzar dos dados, la suma de los puntos de ambos puede tomar un conjunto finito de valores
                              1. CONTINUA
                                1. NORMAL LOGARITMO-NORMAL

                                  Annotations:

                                  • cada vez que existe una variable aleatoria X tal que su logaritmo natural es una nueva variable aleatoria Y con distribución normal, entonces X sigue el modelo probabilístico llamado logaritmo normal
                                  1. PROPIEDADES: Media 1 E (X ) = a Varianza 1 V (X ) = a2
                                    1. Se trata de la densidad de probabilidad de una variable log x distribuida según una función normal: X = N(µ,σ) Y = eX
                                      1. GRAFICA
                                      2. APROXIMACIÓN DE LA NORMAL A LA BINOMIAL

                                        Annotations:

                                        • En este caso se estarán calculando probabilidades de experimentos Binomiales de una forma muy aproximada con la distribución Normal, esto puede llevarse a cabo si n¥® y p = p(éxito) no es muy cercana a 0 y 1, o cuando n es pequeño y p tiene un valor muy cercano a ½
                                          1. PROPIEDADES:
                                            1. MEDIA
                                              1. DESVIACION ESTANDAR
                                              2. GRAFICA
                                                1. Aproximación normal a la Distribución BinomiaL
                                            Show full summary Hide full summary

                                            Similar

                                            Definiciones CARDIOLOGÍA
                                            Vivi Riquero
                                            T9. Enfermedades Inflamatorias
                                            Vivi Riquero
                                            Anatomía cabeza
                                            Diego Santos
                                            Fichas para oposiciones de auxiliar de enfermería
                                            leyvamiri
                                            Oftalmología - ENARM
                                            Emilio Alonsooo
                                            Hematología - ENARM
                                            Emilio Alonsooo
                                            Anatomía cabeza
                                            maca.s
                                            Infecciones Quirúrgicas
                                            Exero
                                            FUNDAMENTOS DE LA EMBRIOLOGÍA.
                                            fperezartiles
                                            Tema 15: Características del sistema respiratorio
                                            Marlopcar López
                                            Alergología - Práctica para el ENARM
                                            Emilio Alonsooo