MOVIMIENTO OSCILATORIO

Description

movimiento oscilatorio
armando miranda
Mind Map by armando miranda, updated more than 1 year ago More Less
John Jairo Hernandez
Created by John Jairo Hernandez about 10 years ago
armando miranda
Copied by armando miranda over 6 years ago
3
0

Resource summary

MOVIMIENTO OSCILATORIO
  1. son variaciones o perturbaciones en un sistema, lo cual trae como efecto desequilibrar la posición de equilibrio estable de dicho sistema. Por ejemplo: los barcos se balancean arriba y abajo, las cuerdas y lengüetas de los instrumentos musicales vibran al producir sonidos
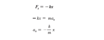
    1. ley de Hooke : Fs = -Kx
    2. Particula en movimiento armónico simple es un movimiento periódico, oscilatorio y vibratorio en ausencia de fricción, producido por la acción de una fuerza recuperadora que es directamente proporcional al desplazamiento pero en sentido opuesto. Se caracteriza debido a que la aceleración es proporcional al desplazamiento y tiene sentido contrario.
      1. Posición con el tiempo para un objeto en movimiento armónico simple
        1. Frecuencia angular
          1. Por lo general se elegirá x como el eje a lo largo del que se presenta la oscilación
            1. El periodo es el intervalo de tiempo requerido para que la partícula pase a través de un ciclo completo de su movimiento
              1. Amplitud: Distancia máxima entre el punto más alejado de una onda y el punto de equilibrio o medio.
              2. Energia del oscilador armónico simple
                1. El Movimiento Armónico Simple es todo movimiento periódico oscilatorio y de trayectoria rectilínea que se considera tiene oscilaciones con amplitud constante. Las fórmulas utilizadas se basan en esa suposición. Sin embargo, por experiencia, se sabe que la amplitud de un cuerpo vibrante tal como un resorte o un péndulo, decrece gradualmente hasta que se detiene
                2. Diferencias entre el Movimiento Armónico Simple y Movimiento Forzado
                  1. Movimiento Armonico Simple
                    1. Movimiento Forzado
                    2. El péndulo
                      1. Péndulo simple
                        1. El movimiento de un péndulo es aproximadamente, para pequeños desplazamientos angulares un movimiento armónico simple. Una de las características de este movimiento es que mientras mayor sea la longitud de la cuerda, mayor será el periodo
                        2. Péndulo fisico
                          1. Péndulo de Torsión
                          2. Movimiento amortiguado
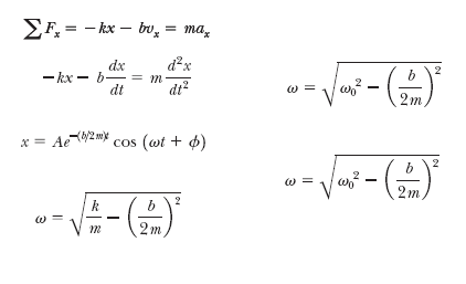
                            1. Un movimiento amortiguado es aquel en el cual el péndulo al cabo de un tiempo deja de oscilar debido a que la energía mecánica se disipa por fuerza de rozamiento. Si el amortiguamiento es pequeño, el sistema oscila con una amplitud que decrece lentamente con el tiempo, en conclusión, la energía y la amplitud, decrecen en porcentaje constante en un intervalo de tiempo
                            2. Movimiento Forzado
                              1. Un movimiento forzado es cuando se lleva en marcha un sistema amortiguado y se le va introduciendo energía al sistema. Por ejemplo, al sentarse en un columpio y hacerlo oscilar, el suministro de energía se realiza moviendo el cuerpo y las piernas hacia adelante y atrás, de forma que se convierte en un oscilador forzado. Una manera de suministrar energía en un sistema masa-resorte es mover el punto de soporte de arriba hacia abajo, con un movimiento armónico de frecuencia
                              2. Diferencias entre el Movimiento Amortiguado y Movimiento Forzado
                                1. Movimiento Amortiguado
                                  1. Movimiento Forzado
                                  Show full summary Hide full summary

                                  Similar

                                  INGENIERIA DE MATERIALES
                                  Ricardo Álvarez
                                  Elementos Básicos de Ingeniería Ambiental
                                  Evilus Rada
                                  Historia de la Ingeniería
                                  Camila González
                                  Introducción a la Ingeniería de Software
                                  David Pacheco Ji
                                  UNIDAD II DIBUJO PROYECTIVO
                                  anyimartinezrued
                                  GENERALIDADES DE LAS EDIFICACIONES
                                  yessi.marenco17
                                  MAPA MENTAL SOFTWARE APLICADOS EN INGENIERÍA CIVIL
                                  Ruben Dario Acosta P
                                  Examen Ingeniería Electromecánica II
                                  Jorge Cabrera7516
                                  Normas que Rigen la Ingenieria Mecanica
                                  Francisco Balderas Garcia
                                  Estado de la ingenería mecánica y su perspectiva a futuro
                                  Roberto Martinez
                                  MAPA CONCEPTUAL SOBRE LA INICIATIVA CDIO
                                  Victor Antonio Rodriguez Castañeda