Finanças

Description

Master Finanças Mind Map on Finanças, created by glenerdourado on 27/08/2013.
glenerdourado
Mind Map by glenerdourado, updated more than 1 year ago
glenerdourado
Created by glenerdourado about 12 years ago
265
1

Resource summary

Finanças
  1. Bolsa e Balcão
    1. Fundos fechados
      1. Resgate apenas no fim
        1. Fundo imobiliários
          1. Isento IRPF
            1. Fundos de Investimentos em Participações (FIP)
              1. Fechado. Objetiva participar da administração.
                1. Certificados de Potencial Adicional de Construção (CEPAC)
                  1. Financiar obras públicas
            2. Operadores
              1. Corretoras
                1. Distribuidoras (só bolsa de mercadorias e futuros

                  Annotations:

                  • Decisao-Conjunta BACEN-CVM publicada no Diário Oficial da União – DOU – em 02/03/2009 decidiu que as distribuidorastambém passariam a ter o direito de operar diretamente nos sistemas da BOVESPA. 
                  1. Solidários com o cliente
                  2. Tipos de ordens

                    Annotations:

                    • “Os tipos mais comuns de ordem são: a) Ordem a Mercado – aquela que especifica somente a quantidade e as características dos ativos ou direitos a serem comprados ou vendidos, devendo ser executada a partir do momento em que for recebida; b) Ordem Limitada – aquela que deve ser executada somente a preço igual ou melhor que o preço especificado pelo cliente; c) Ordem Casada – aquela cuja execução está vinculada à execução de outra ordem do cliente, podendo ser com ou sem limite de preço; d) Ordem Administrada – aquela que especifica somente a quantidade e as características dos ativos ou direitos a serem comprados ou vendidos, ficando a execução a critérioda sociedade corretora: e) Ordem Discricionária – aquela dada por administrador de carteira de títulos e valores mobiliários ou por quem representa mais de um cliente, cabendo ao ordenante estabelecer as condições em que a ordem deve ser executada. Após sua execução, o ordenante indicará os nomes dos comitentes a serem expecificados, a quantidade de ativos ou direitos a ser atribuída a cada um deles e o respectivo preço; f) Ordem de Financiamento – aquela constituída por uma ordem de compra ou de venda de um ativo ou direito em um mercado administrado pela BOVESPA, e outra concomitante de venda ou compra do mesmo ativo ou direito, no mesmo ou em outro mercado também administrado pela BOVESPA; g) Ordem Stop – aquela que especifica o preço do ativo ou direito a partir do qual a ordem deverá ser executada.”
                    1. Limitada
                      1. Preço igual ou MELHOR
                      2. Casada
                        1. Uma operação condicionada à outra
                      3. Agentes

                        Annotations:

                        • Hedger é o agente que busca proteção contra um determinado risco. Ele possui interesse no ativo que está hedgeando. Especulador é o agente que incorre em riscos com o objetivo de auferir lucro. Não tem interesse no ativo que está sendo negociado. Arbitrador é o agente que consegue enxergar uma forma de ganhar dinheiro sem incorrer em risco. Em geral, não possui interesse no ativo que está sendo negociado.
                        1. Regulação
                          1. Bolsa de valores
                            1. CVM
                            2. Bolsa de meroadorias e futuros
                              1. CVM e Bacen
                          2. Índices
                            1. Ibovespa
                              1. Quadrimestre
                                1. Atender certos critérios nos últimos 12m
                                  1. Para ser retirada, a ação deve deixar de atender a DOIS critérios
                                    1. IBrX
                                      1. 100 empresas (negociabilidade)
                                        1. IVBX
                                          1. 11ª-60ª
                                    2. Derivativos
                                      1. Contrato a termo
                                        1. Bolsa
                                          1. Registro obrigatório
                                            1. Garantia facultativa
                                            2. Balcão
                                              1. Registro facultativo
                                                1. Garantia obrigatório se houver IF como contraparte

                                                  Annotations:

                                                  • Nas operações de balcão, o registro é facultativo, sendo obrigatório se alguma instituição financeiraparticipar do contrato assumindo posição de risco na operação. Se uma instituição financeira participar de um contrato a termo de balcão apenas com o objetivo de intermediar a operação para algum cliente, não há a obrigatoriedade do registro da mesma. 
                                                2. Não padronizados
                                                  1. Baixa liquidez
                                                3. Contrato futuro
                                                  1. o contrato futuro é uma evolução do contrato a termo
                                                    1. Padronização
                                                      1. Gera liquidez
                                                      2. Ajuste diário
                                                    2. Taxas
                                                      1. Nominal: 12% ao ano, capitalizada semestralmente= 6% a. s. Logo a taxa efetiva é = 12.36% a.a.
                                                        1. M = C*e^(r*t)
                                                        2. Câmbio Termo/Futuro = Câmbio Vista * e^[(r_interno - r externo)*t]
                                                        3. Opções
                                                          1. Titular (direito)
                                                            1. Lançador (obrigação)
                                                              1. Depósito de margem de garantia
                                                              2. Paridade
                                                                1. c + D + X*e^(-r*t) = S + p

                                                                  Annotations:

                                                                  • Onde: c: é o valor do prêmio da opção de compra D: Dividendo X: Preço de Exercício da opção r: taxa de juros implícita na operação t: tempo até o vencimento S: preço à vista (spot) do ativo p: prêmio da opção de venda
                                                                2. Características
                                                                  1. Relação entre variáveis e opções
                                                                    1. Modelo De Black & Scholes
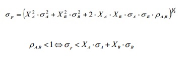
                                                                  2. Carteiras

                                                                    Annotations:

                                                                    • É muito importante notarmos que SEMPRE que a correlação entre os ativos não for perfeita e positiva, não valerá a pena aplicar a totalidade de seus recursos naquele ativo que possui menor risco, pois um aumento na participação do ativo mais arriscado induzirá a uma redução do risco total do portfólio.
                                                                    Show full summary Hide full summary

                                                                    Similar

                                                                    Administração Financeira e Orçamentária
                                                                    Raphael Luiz Fonseca
                                                                    AFO - Administração Financeira Orçamentária
                                                                    fe.r.m
                                                                    Mestrado / Consultoria em Finanças e Contabilidade
                                                                    Jean Gois
                                                                    Finanças.1
                                                                    Euler RA
                                                                    Gestão Financeira
                                                                    vinicius_sviech
                                                                    AUTARQUIAS
                                                                    kaue daud
                                                                    Investindo no Tesouro Direto
                                                                    RenatoAmaralRibeiro
                                                                    Contabilidade
                                                                    Marina Frappa
                                                                    Derivativos
                                                                    Euler RA
                                                                    Vida Sustentável
                                                                    Rafael Lira5535
                                                                    Finanças.2
                                                                    Euler RA