null
US
Sign In
Sign Up for Free
Sign Up
We have detected that Javascript is not enabled in your browser. The dynamic nature of our site means that Javascript must be enabled to function properly. Please read our
terms and conditions
for more information.
Next up
Copy and Edit
You need to log in to complete this action!
Register for Free
1864716
Técnicas de Integración
Description
Física General 1 Mind Map on Técnicas de Integración, created by Noemy Prendas on 14/01/2015.
No tags specified
física básica
técnicas de integración
física general 1
Mind Map by
Noemy Prendas
, updated more than 1 year ago
More
Less
Created by
Noemy Prendas
almost 11 years ago
23
0
0
Resource summary
Técnicas de Integración
Inmediata
Sustitución
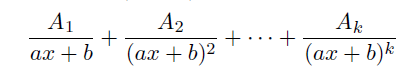
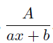
Fracciones parciales
No repetido
Repetido
Sustitución Trigonométrica
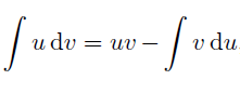
Por partes
Media attachments
fd8c33dd-dd14-4ce6-8964-c22adcd69765 (image/png)
b4b9a1bd-72b5-4a1f-aeab-b6478760604c (image/png)
c03be0c7-bdaf-486a-a182-0b455eb0e9e9 (image/png)
72670132-e84e-43ee-a73f-008f981b2dd5 (image/png)
03a1c127-86f9-4158-9702-ae7b9fe384df (image/png)
cb8412a2-dba9-475c-a668-2766fe904721 (image/png)
Show full summary
Hide full summary
Want to create your own
Mind Maps
for
free
with GoConqr?
Learn more
.
Similar
Conceptos Básicos de la Física
Diego Santos
Fórmulas Física
Diego Santos
La Ley de la Gravedad
maya velasquez
Física Básica
JadeyQuetzal
ESPEJOS Y LENTES
Ana Maria Ramire6520
Fórmulas Física
Olimpo Tapia
La Ley de la Gravedad
LariSa
Fórmulas Física
Jesús Cáceres
Conceptos Básicos de la Física
Gilberto Vélez López
Física Básica
CARLOS RAFAEL GURRION HERNANDEZ
La Ley de la Gravedad
Carlos Choin
Browse Library