Programación No Lineal.

Description

programacion no lineal
alaasen comidero
Mind Map by alaasen comidero, updated more than 1 year ago More Less
kayzer01
Created by kayzer01 about 10 years ago
alaasen comidero
Copied by alaasen comidero about 6 years ago
5
0

Resource summary

Programación No Lineal.
  1. Es aquel donde las variables de decisión se expresan como funciones no lineales ya sea en la función objetivo y/o restricciones de un modelo de optimización. Esta característica particular de los modelos no lineales permite abordar problemas donde existen economías o deseconomías de escala o en general donde los supuestos asociados a la proporcionalidad no se cumplen.
    1. Métodos.
      1. Newton
        1. Karush Kuhn Tucker
          1. Lagrange
            1. Frank Wolfe
              1. Quasi-Newton
                1. Convexo
                  1. Cuadrática
                    1. Método del Centroide
                      1. El Método del Centroide es una técnica para ubicar instalaciones que considera las instalaciones existentes, las distancias entre ellas y la cantidad de productos a transportar entre las mismas. Se suele suponer que los costos de envío o transporte de entrada y salida son iguales y no incluye costos de envío especiales.
                        1. La aplicación del Método del Centroide requiere ubicar las instalaciones existentes en un sistema de coordenadas. La elección de dicho sistema de coordenadas es completamente arbitraria, no obstante, actualmente son populares las medidas de longitud y latitud debido a la rápida adopción de los sistemas GPS. Sin perjuicio de lo anterior y con el objetivo de representar ejemplos sencillos se pueden utilizar coordinadas arbitrarias (X,Y).
                  2. Ejecício de aplicación Por el método del centroide
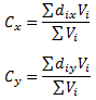
                    1. l Centroide se encuentra calculando las coordenadas X e Y que dan como resultado el costo de transporte mínimo. Para ello se utilizan las fórmulas:
                          1. Donde:
                            1. Se desea determinar la ubicación óptima de una planta productiva (en adelante Planta E) mediante el Método del Centroide con respecto a otras 3 plantas demandantes a las cuales abastece de un cierto producto, que en lo sucesivo denotaremos por A, B y C y cuyas coordenadas (X,Y) son (150,75), (100,300) y (275,380), respectivamente.
                              1. Dada la información anterior calculamos las coordenadas en X e Y de la Planta E.
                                  1. Conclusión.La ubicación óptima de la planta se encuentra en las coordenadas (171.93X, 262,74Y)
                          2. No existe un algoritmo general para resolver modelos no lineales debido al comportamiento irregular de las funciones no lineales. Es por ello que en contraste con la programación lineal no se puede reducir el campo de elección al conjunto de puntos extremos de la región factible.
                            Show full summary Hide full summary

                            Similar

                            INGENIERIA DE MATERIALES
                            Ricardo Álvarez
                            Elementos Básicos de Ingeniería Ambiental
                            Evilus Rada
                            Historia de la Ingeniería
                            Camila González
                            Introducción a la Ingeniería de Software
                            David Pacheco Ji
                            UNIDAD II DIBUJO PROYECTIVO
                            anyimartinezrued
                            GENERALIDADES DE LAS EDIFICACIONES
                            yessi.marenco17
                            MAPA MENTAL SOFTWARE APLICADOS EN INGENIERÍA CIVIL
                            Ruben Dario Acosta P
                            Examen Ingeniería Electromecánica II
                            Jorge Cabrera7516
                            Normas que Rigen la Ingenieria Mecanica
                            Francisco Balderas Garcia
                            Estado de la ingenería mecánica y su perspectiva a futuro
                            Roberto Martinez
                            MAPA CONCEPTUAL SOBRE LA INICIATIVA CDIO
                            Victor Antonio Rodriguez Castañeda