null
US
Sign In
Sign Up for Free
Sign Up
We have detected that Javascript is not enabled in your browser. The dynamic nature of our site means that Javascript must be enabled to function properly. Please read our
terms and conditions
for more information.
Next up
Copy and Edit
You need to log in to complete this action!
Register for Free
2314270
Progressões
Description
ensino medio Matemática Mind Map on Progressões, created by lidiamayda17 on 19/03/2015.
No tags specified
se
matemática
ensino medio
Mind Map by
lidiamayda17
, updated more than 1 year ago
More
Less
Created by
lidiamayda17
over 10 years ago
3
0
0
Resource summary
Progressões
Sequências
Termo geral
Permite o cálculo de qualquer termo da sequencia,por meio da atribuição dos valores possíveis para n.
Lei de recorrência
Quando conhecemos o 1º termo de uma sequência e uma lei que permite calcular cada termo a partir de seus anteriores.
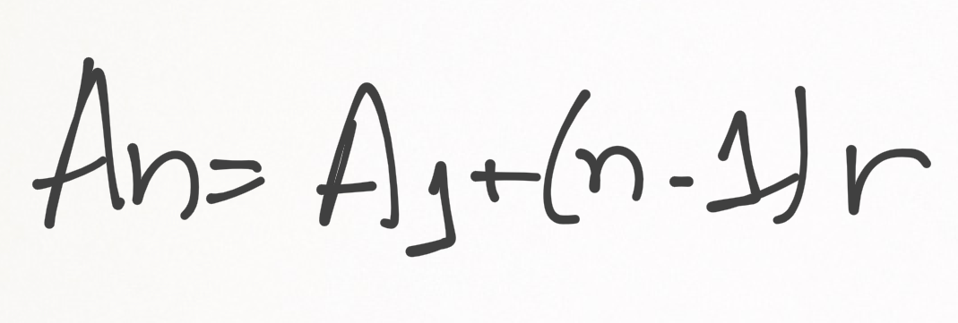
P.A.
Razão (r) é a constante que se soma a cada termo anterior.
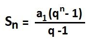
P.G.
A razão (q) é a constante que multiplica cada termo anterior.
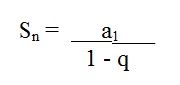
P.G. infinita: soma
Produto dos n 1º termos de uma p.g.
Media attachments
175e47c3-695c-4d76-b9b3-c7f25d64240e (image/png)
7514a557-8cc9-4c63-b08d-859e3df71ce9 (image/jpg)
ad985f24-3e6b-4d13-a41e-abfa4dbad716 (image/jpg)
70d08d9b-50d3-4eb1-80ed-41f65fbedabd (image/jpg)
840c3921-244e-4192-99be-19de3e52d6fc (image/jpg)
9e40b27e-8224-44aa-a0b7-4056d2d735e4 (image/jpg)
Show full summary
Hide full summary
Want to create your own
Mind Maps
for
free
with GoConqr?
Learn more
.
Similar
Tabuada
Alessandra S.
Matemática Básica
Alessandra S.
Geometria Plana
Bruno Fernandes3682
Como Estudar Matemática
Alessandra S.
Simulado de Matemática
Alessandra S.
Simulado Matemática
Marina Faria
Roteiro de Estudo - Matemática
Luiz Fernando
Plano de estudos ENEM - Parte 2 *Exatas/Biológicas
GoConqr suporte .
Geometria Plana Triângulo
Luiz Antonio Lopes
Matemática - Triângulos
Felipe Perreira
Conhecimentos de Estatística e Probabilidade
Sem Parar
Browse Library