null
US
Sign In
Sign Up for Free
Sign Up
We have detected that Javascript is not enabled in your browser. The dynamic nature of our site means that Javascript must be enabled to function properly. Please read our
terms and conditions
for more information.
Next up
Copy and Edit
You need to log in to complete this action!
Register for Free
23335072
Tópicos Caderno 01 - EM
Description
Mind Map on Tópicos Caderno 01 - EM, created by Kelly C. Donati Rinaldi on 01/06/2020.
No tags specified
potenciação
fatoração
equações
sistemas
radiciação
1º ano
Mind Map by
Kelly C. Donati Rinaldi
, updated more than 1 year ago
More
Less
Created by
Kelly C. Donati Rinaldi
over 5 years ago
7
0
0
Resource summary
Tópicos Caderno 01 - EM
Módulo 1: Potenciação
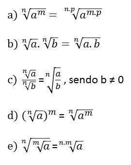
Módulo 2: Radiciação
Módulo 3/4: Fatoração
Módulo 5: Exercícios de Potenciação
Módulo 6: Exercícios de Radiciação
Módulo 10/11: Equações Redutíveis a 1º ou 2º Graus
Módulo 7: Fatoração
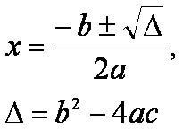
Módulo 9: Equação do 2º Grau
Módulo 8: Equação do 1º Grau
Módulo12: Sistemas e Problemas
Media attachments
Potenciação1 (image/jpeg)
F9beb8770e3f98fc5e2ebe6632956762 (image/jpeg)
Aula 2 Produtos Notveis E Fatorao 2 638 (image/jpeg)
Equação+Do+1o.+Grau+(Raiz+Da+Equação+Do+1º+Grau) (image/jpeg)
Images?Q=Tbn:A Nd9 Gc Si8i6z Fvsr314a W Ebq0h Mhwvtuv Pm J Ifzc3 V1 Z9 Lh Mtj Iq1b&Usqp=Cau (image/jpeg)
Untitled 6(91) (image/jpeg)
Hqdefault (image/jpeg)
Maxresdefault (image/jpeg)
Exercicios Resolvidos Sistemas De Equacoes Do Primeiro Grau 1 (image/png)
Fórmula Geral Fatoração Da Soma Ou Da Diferença De Dois Cubos (image/png)
Show full summary
Hide full summary
Want to create your own
Mind Maps
for
free
with GoConqr?
Learn more
.
Similar
EQUAÇÕES
LEONARDO VIANA PEREIRA
Fatoração
Deivison Takatu
Projeto de Programação de Sistemas: Criando um Aplicativo : MY NOTE BY ENIAC
Sandra Fialho
Sistemas do Corpo Humano
GoConqr suporte .
Sistema nervoso
João Victor
Equações de 2º grau
Amanda Lago
Equações polinomiais
Karina Abreu
Exercícios de Potenciação
Diego Araújo
Sistemas ERP
Felipe Andrew
Sistemas de Informações Contábeis.
brunomonteirof
Equação de 1º grau
Bruno Fernandes3682
Browse Library