OPERACIONES CON VECTORES

Description

Mind Map on OPERACIONES CON VECTORES, created by zullynmt on 24/03/2015.
zullynmt
Mind Map by zullynmt, updated more than 1 year ago
zullynmt
Created by zullynmt over 10 years ago
25
1

Resource summary

OPERACIONES CON VECTORES
  1. Multiplicación de un escalar por un vector
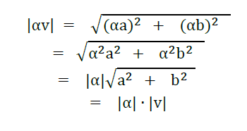
    1. Sea el vector v = (a, b) y α sea un número; se tiene que
      1. αV=αa,αb
        1. Con lo que
          1. Esto significa que cuando un vector es multiplicado por un escalar distinto de cero, hace que la longitud de dicho vector se multiplique por el valor absoluto del escalar
    2. Propiedades del producto de un vector por un escalar
      1. Cuando un vector es multiplicado por un escalar, o bien por un número, ello puede causarle un cambio de sentido o de magnitud. A continuación, se darán algunas propiedades del producto por un escalar
        1. Sea v y w vectores y sean α y β escalares; entonces, se cumplen las siguientes propiedades del producto:
          1. αu también es un vector
      2. Suma de vectores
        1. Sean u=(a1, a2) y v=(b1, b2) dos vectores en el plano, se define la suma de dos vectores como un nuevo vector, cuyas componentes están formadas por la suma de las componentes de u y de v ; el vector resultante de la suma se denota por u+v , y la suma se representa como:
          1. u + v = (a1 + b1, a2 + b2)
            1. Para sumar vectores en el espacio el proceso es similar, lo único que cambia es que se realiza la suma de tres coordenadas, como se muestra a continuación
              1. Sean u=(a1, a2, a3) y v=(b1,b2,b3) dos vectores; entonces, la suma de ellos se representa por u + v
                1. u+v= (a1+b1, a2+b2, a3+b3)
        2. Resta de vectores
          1. La resta de vectores es muy similar a la suma; para poder obtener la resta de dos vectores, se restan las coordenadas que se encuentran en la misma posición de cada uno de los vectores; para ser más explícitos, observa la siguiente representación
            1. Sean u=(a1,a2) y v=(b1,b2) dos vectores en el plano, encontrar la diferencia de los vectores v – u = (b1-a1, b2-a2) .
              1. v=v v=v+(-u+u) v=(v-u)+u
                1. Esto significa que el vector v es el vector resultante de la suma de los vectores v – u y u; dado que u y v ya están trazados, únicamente se unen mediante otro vector; debido a que el punto final del vector resultante coincide con el punto final de la suma de los vectores, entonces, v – u tiene su punto final en la punta de v y su punto inicial en la punta de u.
          Show full summary Hide full summary

          Similar

          ELEMENTOS VECTORIALES
          Leslie Leon
          Examen de Vectores Álgebra Básica
          Enrique Israel|
          Examen de Vectores Álgebra Básica
          Vanessa mayoral viñas
          Operaciones de vectores
          christian cabascango
          Examen de Vectores Álgebra Básica
          ROBINSON JUNIOR
          Vectores 1 BGU
          Wladimir Basantes
          Operaciones de vectores
          Jheyson Quispe Valladolid
          Examen de Vectores Álgebra Básica
          Saul DG