Ruta Critica de un proyecto

Description

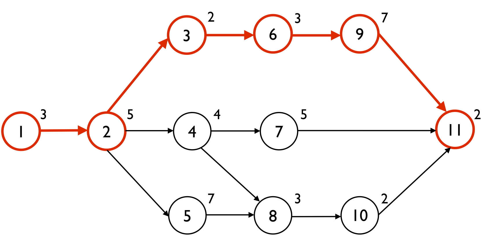
Mapa mental sobre la ruta critica de un proyecto
Juan Carlos Gome2165
Mind Map by Juan Carlos Gome2165, updated more than 1 year ago
Juan Carlos Gome2165
Created by Juan Carlos Gome2165 over 10 years ago
1502
0

Resource summary

Ruta Critica de un proyecto

Annotations:

  • https://www.youtube.com/watch?v=faRl0i18KjY
  1. Establece la duración de un proyecto
    1. Forma de identificar
      1. Metodo a la Vista
        1. Metodo Recorrido Adelante y Atras
        2. Utilidad
          1. Identificar actividades criticas
            1. Gestionar cambios en el plazo
            2. Comunidades para aprender
              1. Certificaciones
                1. PMI-SP del PMI
                2. Grupos de interes del Linkedin

                  Annotations:

                  • https://www.linkedin.com/groups?gid=7431772&trk=vsrp_groups_cluster_name&trkInfo=VSRPsearchId%3A667383031428778325375%2CVSRPtargetId%3A7431772%2CVSRPcmpt%3Agroups_cluster
                Show full summary Hide full summary

                Similar

                Los Valores en mi Proyecto de Vida
                Fabián Muriel Zapata
                MAPA CONCEPTUAL DE FLUJO DE CAJA
                oscar ortiz saenz
                CLASES DE PROYECTOS
                JAIRO GUERRERO
                DESARROLLO COMUNITARIO
                erikmavarez
                Prueba de sinestesia
                La sinesperiencia
                Mapas conceptuales y Crucigramas
                Omar Guajardo
                Semejanzas y diferencias de los materiales de antes y de ahora, y como seran los de mañana
                anahi rivas islas
                DESCRIPCIÓN, ANÁLISIS, Y DISCUSIÓN DE LOS RESULTADOS DE UNA INVESTIGACIÓN
                Heidy Arroyo
                Fases del proceso tecnológico
                Marianela Satto
                PROYECTO SOCIOPRODUCTIVO
                Rosario Flores
                Proyecto de investigación sobre la fotosintesis
                secacabo