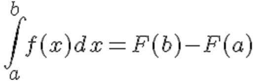
Cálculo Integral

Description

mate
siemprechiva_gol
Mind Map by siemprechiva_gol, updated more than 1 year ago
siemprechiva_gol
Created by siemprechiva_gol over 10 years ago
112
2

Resource summary

Cálculo Integral
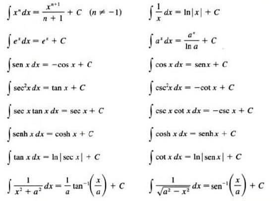
  1. Integración Directa
    1. Casos diferentes de este método
      1. Ejemplos
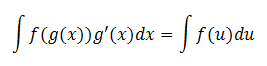
    2. Por sustitución
      1. Por u y cambio en variables
        1. Casos diferentes de este método
          1. Ejemplos
            1. Función Algebraicas
              1. Función trigonométrica
                1. Exponencial y Logarítmica
                  1. Paso 1 - Seleccionar "u". Paso 2 - Derivar "u". Paso 3 - Sustituir "u" en la integral. Paso 4 - Integrar "u"
            2. Integrales trigonométricas
              1. Senos y Cosenos
                1. Casos diferentes de este método
                  1. Seno impar
                    1. Mantener un factor seno, Convertir el resto de los factores a coseno en la identidad seno^2(x)=1-cos2(x). Seleccionar "u"Derivar "u". Sustituir "u" en la integral. Integrar "u"
                    2. Coseno impar
                      1. Mantener un factor coseno, Convertir el resto de los factores a seno en la identidad coseno^2(x)=1-sin2(x). Seleccionar "u"Derivar "u". Sustituir "u" en la integral. Integrar "u"
                      2. Los dos pares positivos
                        1. Seno par: sin^2(x)=1/2(1-cos2x) Coseno par: cos^2(x)=1/2(1+cos2x). Seleccionar "u"Derivar "u". Sustituir "u" en la integral. Integrar "u"
                          1. Ejemplos
                          2. sin^m(x) cos^n(x)
                          3. Tangentes y Secantes
                            1. tan^m(x) sec^n(x)
                              1. Casos diferentes de este metodo
                                1. Secante par
                                  1. Mantener un factor sec, Convertir el resto de los factores a coseno en la identidad sec^2x=1+tan2x. Seleccionar "u"Derivar "u". Sustituir "u" en la integral. Integrar "u"
                                  2. Tangente impar
                                    1. Mantener un factor tan, Convertir el resto de los factores a seno en la identidad secxtanx Seleccionar "u"Derivar "u". Sustituir "u" en la integral. Integrar "u"
                                    2. Tangente par, positiva
                                      1. Sacar un factor tangente. Usar la identidad secxtanx.Seleccionar "u"Derivar "u". Sustituir "u" en la integral. Integrar "u"
                                      2. Ejemplos
                                  3. Tips
                                    1. 1. Siempre poner +C 2. Tener un orden en los procedimientos. 3.Aprender derivadas sencillas. 4.usar parentesis al sustituir porque puede modificar tu resultados. 5. Ser paciente al momento de resolver los problemas. 6 Identificar los tipos de integrales. 7.Memorizar las identidades. 8. Repasar derivadas. 9. Jerarquía de las variables. 10. Memoriza todas las formulas.
                                    2. integración por partes
                                      1. uv-∫vdu ∫f(x)g^1dx + ∫g(x)f^1(x)=f(x)g(x)
                                        1. Casos diferentes de este metodo
                                          1. Uso de la fórmula
                                            1. Sacar "u" y "dv". Derivar "u" e integrar "dv". Sustituir los datos en la fórmula. Resolver la ecuación. Integrar.
                                              1. Ejemplos
                                              2. Caso cíclico
                                                1. Ejemplos
                                                  1. Sacar "u" y "dv". Derivar "u" e integrar "dv". Sustituir los datos en la fórmula. Nuevamente sacar "u" y "dv". Derivar "u" e integrar "dv". Resolver la ecuación. Integrar.
                                              Show full summary Hide full summary

                                              Similar

                                              Aplicaciones del calculo integral en las ciencias
                                              Jose Carlos Gonz0945
                                              CÁLCULOS con [ 3 · 5 · 7 ]
                                              JL Cadenas
                                              Preguntas del Pensamiento Matemático
                                              Diego Santos
                                              Factorización de Expresiones Algebráicas
                                              maya velasquez
                                              Matrices y Determinantes
                                              Diego Santos
                                              Ensayo PSU Matemáticas
                                              Diego Santos
                                              Derivadas
                                              erendira.aviles
                                              Integrales Indefinidas
                                              Rupert012
                                              El número pi
                                              angel tamayo
                                              EL RINCÓN DE MATEMÁTICAS
                                              dolorstodoli
                                              TEST DE SUMAS Y RESTAS
                                              luis sulca romero