Principio de Pascal

Description

Fisica
milagropajuelo23
Mind Map by milagropajuelo23, updated more than 1 year ago
milagropajuelo23
Created by milagropajuelo23 almost 11 years ago
391
1

Resource summary

Principio de Pascal
  1. Pascal (1623-1662)
    1. Enuncio lo siguiente: Toda presión que se ejerce sobre un liquido encerrado en un recipiente se transmite con la misma intensidad a todos los puntos del liquido y las paredes del recipiente que lo contiene
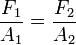
    2. Prensa hidráulica
      1. Aplicación del principio de Pascal que dice:
        1. Consta esencialmente de dos cilindros de diferente diámetro, cada uno con su respectivo embolo, unido por medio de un tubo de comunicación
          1. Formula
      2. Tonel de Pascal
        1. La presión ejercida por el paso del agua vertida en el tubo delgado es tan grande, debido a la altura, que rompe el tonel o barril de madera
        Show full summary Hide full summary

        Similar

        10. PRINCIPIO DE PASCAL
        ROSA MARIA OCAMPO ARRIAGA
        Formas de propagación del calor
        milagropajuelo23
        globalizacion y pobreza cap.ll
        katherine aldana
        Resumen del tema de los refugiados
        Andrea Gutierrez
        Prepa de la calle pino
        Roberto E. Barbo
        mapa mental
        jesushuipet_herr
        exposición oral 1er mapa mental
        Martha Daniela Guzmán Sarate
        ROBÓTICA
        Carlos CAÑARES
        APRENDIZAJE AUTONOMO
        enok sierra
        Teoría General de Administración
        micaela-1807